Appearance
❓:In performing linear regression analysis on two variables x and y, the following steps are undertaken:1. Interpret the regression line equation obtained;2. Collect data (x_i, y_i), where i=1,2,dots,n;3. Calculate the linear regression equation;4. Compute the correlation coefficient;5. Plot the scatter diagram based on the collected data.Which of the following sequences of operations is correct if it is possible to conclude that variables x and y are linearly related based on feasibility?A) 1 → 2 → 5 → 3 → 4B) 3 → 2 → 4 → 5 → 1C) 2 → 4 → 3 → 1 → 5D) 2 → 5 → 4 → 3 → 1
🧠:[<think>Okay, let's see. The question is about the correct sequence of steps in linear regression analysis. The options are A to D, and I need to figure out which order makes sense. The steps given are: interpret the regression line, collect data, calculate the regression equation, compute the correlation coefficient, and plot the scatter diagram.First, I need to remember the typical process when doing regression analysis. Let me think. When you start, the first thing you must do is collect data. Without data, you can't do any of the other steps. So step 2, collect data (xi, yi), has to come first. Looking at the options, options A starts with 1, which is interpreting the regression line, but that doesn't make sense because you can't interpret it before you have data. So A is probably out. Option B starts with 3, calculating the regression equation, which also isn't possible without data. So B is out. C starts with 2, which is good. D also starts with 2. So options C and D are possible.Now, after collecting data (step 2), what comes next? Usually, after collecting data, you might want to visualize it. A scatter diagram (step 5) helps you see if there's a linear relationship visually. So maybe step 5 comes after step 2. Let me check the options. Option C says 2 → 4 → 3 → 1 → 5. So after collecting data, compute the correlation coefficient. But wait, can you compute the correlation coefficient without plotting? Yes, technically. But plotting the scatter diagram can help you assess linearity before jumping into calculations. However, sometimes people compute the correlation coefficient without plotting, but in terms of feasibility, maybe plotting is better first to get a sense. But maybe the question is more about the procedural order rather than what's advisable.Wait, the question says "if it is possible to conclude that variables x and y are linearly related based on feasibility." So maybe they want the steps in the correct order where you can conclude linear relationship. Let's think. To compute the correlation coefficient (step 4), you need the data, so after step 2. But calculating the regression equation (step 3) also requires the data. But usually, you can compute the correlation coefficient and the regression equation from the same data. However, the regression equation would require more computation, like finding the slope and intercept. But perhaps the order here is that after collecting data, you can compute the correlation coefficient (step 4) to check the strength and direction of the linear relationship. Then, if the correlation is significant, you can proceed to compute the regression equation (step 3). Then interpret the regression line (step 1). But when does the scatter diagram come in?Wait, in some cases, you might plot the scatter diagram (step 5) before computing any numerical measures. Because visualizing the data can help you decide whether a linear model is appropriate. So maybe the correct order is: collect data (2), plot the scatter diagram (5), then compute the correlation coefficient (4) to quantify the linear relationship, then calculate the regression equation (3), then interpret it (1). So that would be 2 → 5 → 4 → 3 → 1, which is option D.Alternatively, another approach: after collecting data, maybe compute the correlation coefficient first to see if there's a linear relationship. But if you don't plot the scatter diagram, you might miss non-linear relationships or outliers that affect the correlation. So maybe plotting the scatter diagram is an important step before computing the correlation coefficient. Wait, but you can compute the correlation coefficient even if the relationship is not linear. However, if you want to check feasibility of concluding a linear relationship, you should plot the data first to see if a linear model is appropriate. Therefore, step 5 (scatter diagram) should come before step 4 (correlation coefficient) because if the scatter plot shows a non-linear pattern, computing the correlation might be misleading. So the correct order would be 2 → 5 → 4 → 3 → 1, which is D.Alternatively, some sources might say that you can compute the correlation coefficient right after collecting data, but the proper procedure is to plot first. Let me recall the statistical analysis steps. Usually, the process is:1. Collect data (step 2).2. Plot the data (step 5) to visualize.3. If the plot suggests a linear relationship, compute the correlation coefficient (step 4) to measure the strength.4. If the correlation is sufficiently strong, proceed to compute the regression equation (step 3).5. Interpret the regression line (step 1).Therefore, the sequence would be 2 → 5 → 4 → 3 → 1, which is option D. Let me check the options again:A) 1 → 2 → 5 → 3 → 4 – No, starts with interpretation before data.B) 3 → 2 → 4 → 5 → 1 – No, starts with calculating regression before data.C) 2 → 4 → 3 → 1 → 5 – Collect data, compute correlation, calculate regression, interpret, then plot. That skips plotting until the end, which doesn't make sense because plotting should be early to check assumptions.D) 2 → 5 → 4 → 3 → 1 – Collect data, plot, compute correlation, compute regression, interpret. That makes sense.Therefore, the correct answer is D.Final Answerboxed{D}</think>To determine the correct sequence of steps in linear regression analysis, we need to follow the logical order of operations:1. Collect data (step 2): This is the first step because without data, none of the subsequent steps can be performed.2. Plot the scatter diagram (step 5): Visualizing the data helps assess whether a linear relationship is feasible.3. Compute the correlation coefficient (step 4): After plotting, the correlation coefficient quantifies the strength and direction of the linear relationship.4. Calculate the linear regression equation (step 3): With the correlation coefficient indicating a linear relationship, the regression equation can be computed.5. Interpret the regression line equation (step 1): Finally, the regression line is interpreted based on the computed equation.Thus, the correct sequence is: 2 → 5 → 4 → 3 → 1, which corresponds to option D.boxed{D},<think>Alright, let me try to figure out the correct sequence for the linear regression analysis steps. The question is asking which order of the given steps makes sense if we want to conclude that variables x and y are linearly related. The options are A, B, C, D, each with a different sequence. Let me break down each step and see the logical order.First, the steps provided are:1. Interpret the regression line equation obtained;2. Collect data (xi, yi);3. Calculate the linear regression equation;4. Compute the correlation coefficient;5. Plot the scatter diagram based on the collected data.So, the possible sequences are combinations of these steps. Let me think about the typical process when doing linear regression analysis.Normally, when you start with regression, the first thing you need is data. So step 2 (collect data) should be first. Without data, you can't do any of the other steps. That makes sense. So all options that don't start with step 2 can be eliminated. Looking at the options: A starts with 1, which is interpreting the regression line, but how can you interpret it before collecting data? That seems backwards. B starts with 3 (calculate regression equation), but again, how can you calculate the equation without data? So B is out. C starts with 2, which is good. D also starts with 2. So A and B are invalid because they don't start with data collection. So possible answers are C or D.Now, between C and D. Let's look at their sequences:C: 2 → 4 → 3 → 1 → 5D: 2 → 5 → 4 → 3 → 1So after collecting data (step 2), what do you do next? Typically, after collecting data, you might want to visualize it to see if there's a linear relationship. So step 5 (plot the scatter diagram) would come next. That's in option D. Alternatively, option C skips the scatter plot and goes straight to computing the correlation coefficient (step 4). Hmm.But let me think. If you want to check for a linear relationship, plotting the scatter diagram (step 5) is a good first step after collecting data. The scatter plot can give you a visual idea of whether there's a linear trend, outliers, etc. Then, computing the correlation coefficient (step 4) quantifies the strength and direction of the linear relationship. If the correlation is reasonably strong, you might proceed to calculate the regression equation (step 3). Then interpret the equation (step 1). Wait, but after calculating the regression equation (step 3), then you interpret it (step 1). So the order would be 2 → 5 → 4 → 3 → 1, which is option D.But let me check the other option, C: 2 → 4 → 3 → 1 → 5. Here, after collecting data, compute the correlation coefficient, then regression equation, then interpret it, then plot the scatter diagram. Wait, but plotting the scatter diagram after interpreting the regression line seems odd. Usually, the scatter plot is done early on to visualize the data. Also, the correlation coefficient (step 4) can be computed right after data collection, but without looking at the plot? Well, you could compute it, but it's standard to plot the data first to check for linearity, outliers, etc. If you compute the correlation first, you might miss something that the scatter plot shows, like a nonlinear relationship which could still have a moderate correlation. For example, a curved relationship might have a low or moderate linear correlation, but you can see the curve in the plot.So, I think plotting the scatter diagram (step 5) should come before computing the correlation coefficient (step 4) and definitely before calculating the regression equation (step 3). Therefore, after step 2, it's step 5, then 4, then 3, then 1. So that's D: 2 → 5 → 4 → 3 → 1.Alternatively, could you compute the correlation coefficient before plotting? Technically, yes, but the question mentions concluding that variables are linearly related based on feasibility. To check feasibility of a linear relationship, plotting the scatter diagram is a crucial step. If the scatter plot shows a clear linear pattern, then computing the correlation and regression makes sense. So the correct sequence would be collect data, plot it, check the correlation, then if appropriate, compute regression, interpret it.Therefore, the answer should be D.Double-checking the steps:1. Collect data (2)2. Plot scatter diagram (5) to visualize relationship3. Compute correlation coefficient (4) to measure strength4. If correlation is significant, calculate regression equation (3)5. Interpret the regression equation (1)Yes, that seems logical. So D is the correct sequence.Final Answerboxed{D}</think>To determine the correct sequence of operations for concluding that variables (x) and (y) are linearly related, we need to follow a logical process in linear regression analysis. Here are the key steps:1. Collect data (2): This is the first step because without data, none of the subsequent steps can be performed.2. Plot the scatter diagram (5): Visualizing the data helps in identifying any linear trends, outliers, or nonlinear patterns.3. Compute the correlation coefficient (4): This quantifies the strength and direction of the linear relationship observed in the scatter plot.4. Calculate the linear regression equation (3): If the correlation coefficient indicates a linear relationship, the regression equation is computed.5. Interpret the regression line equation (1): Finally, the regression equation is interpreted to understand the relationship between (x) and (y).The correct sequence is therefore: (2 rightarrow 5 rightarrow 4 rightarrow 3 rightarrow 1), which corresponds to option D.[boxed{D}]]
🔑:When performing regression analysis on two variables,- First, we collect data (x_i, y_i), where i=1,2,dots,n;- Next, we plot the scatter diagram using the collected data;- By observing the shape of the scatter plot, we can assess the strength of the linear relationship;- Then, we compute the correlation coefficient followed by the linear regression equation;- Finally, we interpret the regression line equation that has been derived;Thus, the correct sequence is 2 → 5 → 4 → 3 → 1, resulting in option D being the correct answer.Therefore, boxed{text{D}} is the correct sequence.
❓:7. Given that M is a four-digit perfect square. If the thousand's digit of M is reduced by 3 and the unit's digit is increased by 3, another four-digit perfect square can be obtained. Then the value of M is qquad
🧠:[<think>Alright, let's try to figure out this problem step by step. So, the problem says that M is a four-digit perfect square. When we reduce the thousand's digit by 3 and increase the unit's digit by 3, we get another four-digit perfect square. We need to find M.First, let's break down what this means. M is a four-digit number, which means it's between 1000 and 9999. Since it's a perfect square, its square root must be a two-digit number because 32² is 1024 and 99² is 9801, so the square roots are between 32 and 99.Now, when they say the thousand's digit is reduced by 3 and the unit's digit is increased by 3, that operation should result in another four-digit perfect square. Let's denote M as a four-digit number: M = ABCD, where A is the thousand's digit, B the hundred's, C the ten's, and D the unit's digit. Then, after the operation, the new number would be (A-3)BCD+3. Wait, hold on, that might not be accurate. Let me clarify.If we reduce the thousand's digit by 3, A becomes A-3. Then, increase the unit's digit by 3, D becomes D+3. So the new number is (A-3)BC(D+3). But we have to ensure that this new number is also a four-digit number. Therefore, A-3 must be at least 1 (since the thousand's digit can't be 0), so A must be at least 4. Also, when we increase the unit's digit by 3, D+3 must be a single digit, so D must be at most 6 (since 6+3=9). So D is between 0 and 6.Therefore, M has a thousand's digit A ≥ 4 and a unit's digit D ≤ 6. Also, M and the modified number N = (A-3)BC(D+3) are both four-digit perfect squares.So our goal is to find such M. Let's think about how to approach this.Since both M and N are four-digit perfect squares, we can list all four-digit perfect squares and check if modifying the thousand's and unit's digits as described gives another perfect square. But that might be tedious. Maybe we can find a smarter way.Let me consider that modifying M by subtracting 3000 and adding 3. Because decreasing the thousand's digit by 3 is equivalent to subtracting 3000, and increasing the unit's digit by 3 is adding 3. So N = M - 3000 + 3 = M - 2997. Therefore, N = M - 2997.So, if M is a four-digit perfect square, then N = M - 2997 is another four-digit perfect square. Wait, that's a key insight! So the difference between M and N is 2997. Therefore, if we can find two four-digit perfect squares that differ by 2997, then that M would be our answer.But let's confirm this. If M is ABCD, then N is (A-3)BC(D+3). Let's see, the difference between M and N is:M - N = (1000A + 100B + 10C + D) - [1000(A-3) + 100B + 10C + (D+3)]Simplify that:= 1000A + 100B + 10C + D - [1000A - 3000 + 100B + 10C + D + 3]= 1000A + 100B + 10C + D - 1000A + 3000 - 100B - 10C - D - 3Simplify terms:1000A cancels with -1000A,100B cancels with -100B,10C cancels with -10C,D cancels with -D,Then we have 3000 - 3 = 2997.Therefore, indeed, M - N = 2997. So N = M - 2997. Therefore, the problem reduces to finding two four-digit perfect squares that differ by 2997, where the higher one is M, and the lower one is N.Therefore, we need to find M and N such that:M = N + 2997,and both M and N are four-digit perfect squares.So, perhaps we can list four-digit perfect squares and check if adding 2997 to them gives another perfect square. But given the range, the four-digit squares are from 32²=1024 up to 99²=9801.But the difference of 2997 is quite large. Let's see how far apart the squares are. The difference between consecutive squares is (n+1)^2 - n^2 = 2n + 1. So for large n, the difference can be up to around 2*99 + 1 = 199. But we need a difference of 2997, so that's way beyond consecutive squares. So we need two squares that are quite apart.Alternatively, perhaps we can express this as:Let M = k²,N = l²,with k and l integers between 32 and 99,such that k² - l² = 2997.We can factor this as (k - l)(k + l) = 2997.So, the problem reduces to finding two integers k and l such that (k - l)(k + l) = 2997.Therefore, we need to factor 2997 into two factors of the same parity (since k - l and k + l are both integers and (k + l) > (k - l), both factors must be either odd or even. But since 2997 is odd, both factors must be odd.So, first, factor 2997.Let me factor 2997.Divide by 3: 2997 ÷ 3 = 999. Then 999 ÷ 3 = 333, then 333 ÷ 3 = 111, then 111 ÷ 3 = 37. So 2997 = 3^4 × 37.So the prime factors are 3, 3, 3, 3, 37.Therefore, the divisors of 2997 can be found by combinations of these exponents.Possible factor pairs (since 2997 is positive, both factors are positive):1 × 29973 × 9999 × 33327 × 11137 × 81111 × 27333 × 9999 × 32997 × 1But since k and l are between 32 and 99, let's see what possible (k - l) and (k + l) could be.Given that k and l are between 32 and 99,k + l is at most 99 + 99 = 198,and at least 32 + 32 = 64.Similarly, k - l is at least 1 (assuming k > l) and at most 99 - 32 = 67.Looking at the factor pairs:1 × 2997: 2997 is way larger than 198, so discard.3 × 999: 999 still too big.9 × 333: 333 too big.27 × 111: 111 is within the possible k + l (64-198). Let's check if 27 and 111 can be (k - l) and (k + l). So:k - l = 27,k + l = 111.Solving these equations:Adding them:2k = 138 => k = 69,Then l = 69 - 27 = 42.Check if k and l are within 32-99: yes, 69 and 42.So, k = 69, l = 42.Check 69² and 42²:69² = 4761,42² = 1764,Difference: 4761 - 1764 = 2997. Correct.Another factor pair: 37 × 81.Check if 37 and 81 are possible.So:k - l = 37,k + l = 81.Adding equations:2k = 118 => k = 59,Then l = 59 - 37 = 22.But l = 22 is less than 32, which is the lower bound for four-digit numbers (since sqrt(1000) ≈ 31.62, so 32²=1024). So l = 22 would be 484, a three-digit number. Disregard.Next factor pair: 111 × 27. But this is same as 27 × 111, which we already considered. Similarly, 333 × 9, 999 × 3, 2997 ×1, all have factors too large or too small.So the only valid factor pair is 27 and 111, leading to k=69 and l=42.Therefore, M = k² = 69² = 4761.Let me verify the original condition. M is 4761. The thousand's digit is 4. Reduce that by 3: 4 - 3 = 1. The unit's digit is 1. Increase that by 3: 1 + 3 = 4. Therefore, the new number is 1 (thousand's digit), then the hundred's and ten's digits remain the same: 7 and 6, and the unit's digit becomes 4. So 1764. Check if 1764 is a perfect square: yes, 42²=1764. Perfect. So that works.But wait, let me check if there are any other possible factor pairs. Wait, we only considered the factor pair (27, 111). But maybe there are other factor pairs where both factors are within the required ranges. Let me check.Wait, 37 × 81 gives k = 59, but l = 22, which is too low. So that's invalid. 9 × 333: 333 is too big. 3 × 999: 999 is too big. So yes, only 27 ×111 is valid.Therefore, M is 4761. But let's just check if there are other possible M's. Suppose there is another pair.Wait, 2997 is also equal to 81 ×37. But as we saw, that gives l=22 which is invalid. So no.Alternatively, maybe considering that (k - l) and (k + l) could be other factors? Let me confirm.Wait, 2997 divided by 9 is 333, which is 3×3×37. So the factors are 1, 3, 9, 27, 37, 111, 333, 999, 2997. So we have considered all possible factor pairs.Therefore, only one solution: M=4761, N=1764.But let me check another way. Let's list four-digit perfect squares starting from the higher end and subtract 2997 to see if the result is also a perfect square.Take M = 69² = 4761. Subtract 2997: 4761 - 2997 = 1764, which is 42². That's valid.Next, check M=70²=4900. Subtract 2997: 4900-2997=1903. Is 1903 a perfect square? 43²=1849, 44²=1936, so no.M=71²=5041. 5041 -2997=2044. 45²=2025, 46²=2116. Not a square.M=72²=5184. 5184-2997=2187. 46²=2116, 47²=2209. Not a square.M=73²=5329. 5329-2997=2332. 48²=2304, 49²=2401. Not a square.M=74²=5476. 5476-2997=2479. 49²=2401, 50²=2500. Not a square.M=75²=5625. 5625-2997=2628. 51²=2601, 52²=2704. Not a square.M=76²=5776. 5776-2997=2779. 52²=2704, 53²=2809. Not a square.M=77²=5929. 5929-2997=2932. 54²=2916, 55²=3025. Not a square.M=78²=6084. 6084-2997=3087. 55²=3025, 56²=3136. Not a square.M=79²=6241. 6241-2997=3244. 57²=3249. Close, but 3244 is not a square.M=80²=6400. 6400-2997=3403. 58²=3364, 59²=3481. Not a square.Continuing down, but since we already found the solution with M=4761, which is 69², and given that the difference is quite large, it's unlikely there are others. Let's check a lower M just in case.Take M=68²=4624. 4624-2997=1627. 40²=1600, 41²=1681. Not a square.M=67²=4489. 4489-2997=1492. 38²=1444, 39²=1521. Not a square.M=66²=4356. 4356-2997=1359. 36²=1296, 37²=1369. Not a square.M=65²=4225. 4225-2997=1228. 35²=1225, 36²=1296. Not a square.M=64²=4096. 4096-2997=1099. 33²=1089, 34²=1156. Not a square.M=63²=3969. 3969-2997=972. 31²=961, 32²=1024. 972 isn't a square.M=62²=3844. 3844-2997=847. 29²=841, 30²=900. Not a square.M=61²=3721. 3721-2997=724. 26²=676, 27²=729. Not a square.M=60²=3600. 3600-2997=603. 24²=576, 25²=625. Not a square.So seems like only 4761 works. Therefore, the answer is 4761.But let's check the original problem's condition again just to make sure.M = 4761. Thousand's digit is 4. Reducing by 3 gives 1. Unit's digit is 1. Increasing by 3 gives 4. So the new number is 1764. Which is 42². Perfect. So yes, it fits.Therefore, the value of M is 4761.Final AnswerThe value of ( M ) is boxed{4761}.</think>Given that ( M ) is a four-digit perfect square, when the thousand's digit of ( M ) is reduced by 3 and the unit's digit is increased by 3, another four-digit perfect square is obtained. We need to find ( M ).1. Understanding the problem: - ( M ) is a four-digit perfect square. - Modifying ( M ) by reducing the thousand's digit by 3 and increasing the unit's digit by 3 results in another four-digit perfect square ( N ). - The difference between ( M ) and ( N ) is 2997 (since reducing the thousand's digit by 3 subtracts 3000 and increasing the unit's digit by 3 adds 3, resulting in a net difference of -2997).2. Key equations: - ( M - N = 2997 ) - Both ( M ) and ( N ) are four-digit perfect squares.3. Factoring the difference: - Let ( M = k^2 ) and ( N = l^2 ). Then, ( k^2 - l^2 = 2997 ). - This can be factored as ( (k - l)(k + l) = 2997 ).4. Prime factorization of 2997: - ( 2997 = 3^4 times 37 ). - Possible factor pairs of 2997 are ( (27, 111) ), ( (37, 81) ), etc.5. Checking valid factor pairs: - Factor pair ( (27, 111) ): - Solving ( k - l = 27 ) and ( k + l = 111 ): - ( k = 69 ) and ( l = 42 ). - Check if ( k ) and ( l ) are within the range (32 to 99): Yes. - Calculate ( M = 69^2 = 4761 ) and ( N = 42^2 = 1764 ). - Verify the modification: Reducing the thousand's digit of 4761 by 3 gives 1, and increasing the unit's digit by 3 gives 4, resulting in 1764, which is a perfect square.6. Conclusion: - The only valid solution is ( M = 4761 ).The value of ( M ) is (boxed{4761}).,<think>Okay, so I need to find a four-digit perfect square, M. When I reduce the thousands digit by 3 and increase the units digit by 3, it becomes another four-digit perfect square. Hmm, interesting. Let me break this down step by step.First, M is a four-digit number, so it must be between 1000 and 9999. Since it's a perfect square, the square root of M should be between 32 (since 32²=1024) and 99 (since 99²=9801). Wait, 100² is 10000, which is five digits, so yeah, up to 99.Now, the problem says if we reduce the thousands digit by 3 and increase the units digit by 3, we get another four-digit perfect square. Let me parse that. The thousands digit is the first digit of M. Let's denote M as a four-digit number: ABCD, where A, B, C, D are digits from 0-9, and A is at least 1 since it's a four-digit number.So changing A to A-3 and D to D+3 gives us another number, let's call it N, which is (A-3)BCD+3. Wait, no, actually, digits in between stay the same? Wait, the problem says "If the thousand's digit of M is reduced by 3 and the unit's digit is increased by 3, another four-digit perfect square can be obtained." So only the thousands digit and the units digit are changed. The hundreds and tens digits remain the same. So M is ABCD, N is (A-3)BC(D+3). But we have to make sure that these operations don't cause any digit to go out of bounds. For example, reducing the thousands digit by 3 means that A must be at least 3, otherwise, (A-3) would be negative, which isn't allowed. So A is between 3 and 9. Similarly, increasing the units digit by 3 means D must be at most 6, because D+3 has to be a single digit (0-9). So D is between 0 and 6.So N is a four-digit number where the thousands digit is 3 less than that of M, and the units digit is 3 more. The hundreds and tens digits are the same.So N = (A-3)BC(D+3), and N is also a perfect square.So our task is to find such a number M = ABCD, which is a perfect square, A ≥ 3, D ≤ 6, and N as defined is also a perfect square.Hmm. So perhaps I can approach this by listing four-digit perfect squares, check if they meet the criteria of A ≥ 3, D ≤ 6, then compute N and check if N is a perfect square.But since there are quite a few four-digit perfect squares (from 32² to 99²), maybe there's a smarter way.Alternatively, perhaps express M and N in terms of their digits.Let me write M as 1000A + 100B + 10C + D. Then N would be 1000(A-3) + 100B + 10C + (D+3). Therefore, the difference between M and N is 1000A - 1000(A-3) + D - (D+3) = 3000 - 3 = 2997. So M - N = 2997.Wait, that's interesting. So M and N differ by 2997. So M is N + 2997, and both are four-digit perfect squares.Therefore, the problem reduces to finding two four-digit perfect squares that are 2997 apart. Moreover, the thousands digit of M is 3 more than that of N, and the units digit of M is 3 less than that of N.So we can think of it as looking for two perfect squares P and Q (Q = P + 2997), where Q's thousands digit is 3 more than P's thousands digit, and Q's units digit is 3 less than P's units digit.Alternatively, since M = Q and N = P, with Q = N + 2997. Wait, earlier, I had M - N = 2997, so M = N + 2997. So M is the larger number. So M is the original number, N is the modified number (with thousands digit reduced by 3 and units digit increased by 3). Wait, but if M is larger, then how come N is obtained by reducing the thousands digit? Wait, no. Let me check:Original number M: ABCDModified number N: (A-3)BC(D+3). So N's thousands digit is A-3, so if A is reduced by 3, the thousands digit is smaller, hence N is smaller than M. Therefore, N = M - 2997.Wait, earlier, when I calculated M - N, it's 1000A + ... + D - [1000(A-3) + ... + (D+3)] = 1000A - 1000(A - 3) + D - (D + 3) = 3000 - 3 = 2997. So M - N = 2997. Therefore, N = M - 2997.Therefore, N is a four-digit perfect square, and M is another four-digit perfect square, such that N = M - 2997, and the digits of N are related to M as described.So now, the problem becomes: find two four-digit perfect squares M and N, with N = M - 2997, such that the thousands digit of N is 3 less than that of M, and the units digit of N is 3 more than that of M. Also, the hundreds and tens digits are the same in both numbers.Therefore, the hundreds and tens digits must be the same in both M and N, which implies that when we subtract 2997 from M to get N, the hundreds and tens digits remain unchanged.Wait, but 2997 is 3000 - 3. So subtracting 2997 is equivalent to subtracting 3000 and adding 3. Therefore, if we subtract 3000, that would reduce the thousands digit by 3 (since 3000 is 3*1000), and then adding 3 would increase the units digit by 3. Therefore, the net effect is subtracting 2997, which is equivalent to subtracting 3000 and adding 3. Therefore, the hundreds and tens digits (the middle two digits) remain the same. So that checks out. So the operation of subtracting 2997 corresponds precisely to reducing the thousands digit by 3 and increasing the units digit by 3, while keeping the middle two digits the same.Therefore, our problem reduces to finding two four-digit perfect squares differing by 2997, with the middle two digits the same. Therefore, we can model this as looking for such pairs.Alternatively, since 2997 is a specific difference, perhaps we can find M and N such that N = M - 2997, both perfect squares.Let me consider the equations.Let M = k², N = l², where k and l are integers with 32 ≤ l < k ≤ 99.Then, k² - l² = 2997.Factor the left side: (k - l)(k + l) = 2997.So, the product of (k - l) and (k + l) is 2997. Therefore, we need to find pairs of integers (d, D) such that d * D = 2997, where d = k - l and D = k + l, and both d and D are positive integers, d < D, and of the same parity (since k and l are integers, k - l and k + l are both even or both odd; since 2997 is odd, both d and D must be odd). Let's factorize 2997.First, check if 2997 is divisible by 3: 2 + 9 + 9 + 7 = 27, which is divisible by 3, so yes. 2997 ÷ 3 = 999.999 ÷ 3 = 333. 333 ÷ 3 = 111. 111 ÷ 3 = 37. So 2997 factors into 3^4 * 37.So the prime factors are 3, 3, 3, 3, 37.Therefore, the divisors of 2997 are:1, 3, 9, 27, 37, 111, 333, 999, 2997.Since we need to write 2997 as a product of two positive integers d and D, where d < D, and both are odd (as 2997 is odd). So all divisors are odd, so possible pairs (d, D):(1, 2997), (3, 999), (9, 333), (27, 111), (37, 81). Wait, 37*81 = 2997? Let's check 37*80 = 2960, plus 37 is 2997. Yes, 37*81=2997. So those are all possible pairs.So possible pairs (d, D):(1, 2997), (3, 999), (9, 333), (27, 111), (37, 81).Now, since k and l are integers between 32 and 99, we can find k and l from each pair.We have:k - l = dk + l = DSo solving for k and l:k = (D + d)/2l = (D - d)/2So let's check each pair.First pair: (1, 2997)k = (2997 + 1)/2 = 2998/2 = 1499l = (2997 - 1)/2 = 2996/2 = 1498But k and l are supposed to be at most 99, so this pair is invalid.Second pair: (3, 999)k = (999 + 3)/2 = 1002/2 = 501l = (999 - 3)/2 = 996/2 = 498Again, way too large, beyond 99. Disregard.Third pair: (9, 333)k = (333 + 9)/2 = 342/2 = 171l = 333 - 9 = 324/2 = 162Still too big. Fourth pair: (27, 111)k = (111 + 27)/2 = 138/2 = 69l = (111 - 27)/2 = 84/2 = 42Ah, k = 69, l = 42. Both are within 32 to 99. So possible.Fifth pair: (37, 81)k = (81 + 37)/2 = 118/2 = 59l = (81 - 37)/2 = 44/2 = 22But l = 22 is less than 32, so invalid because l must be at least 32. So only the pair (27, 111) gives valid k and l: 69 and 42.So let's check that. If k = 69, then M = 69² = 4761.If l = 42, then N = 42² = 1764.Now, check if M and N satisfy the digit condition. So M is 4761, N should be 1764.Wait, let's check the difference: 4761 - 1764 = 2997. Correct.Now, check the digits. M is 4761: thousands digit 4, hundreds 7, tens 6, units 1.N is 1764: thousands digit 1, hundreds 7, tens 6, units 4.So the thousands digit of N is 1, which is 4 - 3 = 1. Correct. The units digit of N is 4, which is 1 + 3 = 4. Correct. The hundreds and tens digits are the same (7 and 6). So this seems to satisfy all conditions.Therefore, M is 4761.But let me confirm. Is there another possible pair?Wait, the fifth pair (37, 81) gave k = 59, l = 22. l is too low, so that's invalid.So only one possible pair: k = 69, l = 42. So M = 4761.But let me just verify this. 4761. Let's reduce the thousands digit by 3: 4 - 3 = 1. So thousands digit becomes 1. Units digit is 1, increase by 3: 1 + 3 = 4. So the new number is 1 (thousands), 7 (hundreds), 6 (tens), 4 (units): 1764. Which is 42². Correct. So that works.Therefore, the answer is 4761. Wait, but let me check if there's another possible solution. Wait, the factorization only gave one possible pair (27, 111). The other pairs gave k and l outside the four-digit range. So this seems unique.But let me just check if there are any other factor pairs. Wait, 2997 is 3^4 * 37, so all factors are accounted for. So the only possible valid pair is (27, 111).Hence, M is 4761.But wait, let me double-check the calculation. 69 squared is 4761?60² = 3600, 9² = 81, 2*60*9 = 1080, so (60 + 9)² = 60² + 2*60*9 + 9² = 3600 + 1080 + 81 = 4761. Correct.42² is 1764. 40²=1600, 2²=4, 2*40*2=160. So (40 + 2)² = 1600 + 160 + 4 = 1764. Correct.So this seems solid.Therefore, the value of M is 4761.Final AnswerThe value of ( M ) is (boxed{4761}).</think>Given that ( M ) is a four-digit perfect square, we need to find ( M ) such that when the thousands digit is reduced by 3 and the units digit is increased by 3, another four-digit perfect square ( N ) is obtained. 1. Identify the range and properties: - ( M ) is a four-digit perfect square, so ( 32 leq sqrt{M} leq 99 ). - ( N ) is derived from ( M ) by reducing the thousands digit by 3 and increasing the units digit by 3, resulting in ( N = M - 2997 ).2. Factorize the difference: - The difference between ( M ) and ( N ) is 2997. We need to express 2997 as a product of two integers ( (k - l) ) and ( (k + l) ). - Factorizing 2997: ( 2997 = 3^4 times 37 ). The factor pairs are ( (1, 2997) ), ( (3, 999) ), ( (9, 333) ), ( (27, 111) ), ( (37, 81) ).3. Check valid factor pairs: - For each pair, solve for ( k ) and ( l ) such that ( k = frac{D + d}{2} ) and ( l = frac{D - d}{2} ). - Valid pairs must result in ( k ) and ( l ) within the range 32 to 99. The only valid pair is ( (27, 111) ), giving ( k = 69 ) and ( l = 42 ).4. Verify the solution: - Calculate ( M = 69^2 = 4761 ) and ( N = 42^2 = 1764 ). - Check digits: ( M = 4761 ) (thousands digit 4, units digit 1), ( N = 1764 ) (thousands digit 1, units digit 4). The thousands digit of ( N ) is 3 less, and the units digit is 3 more than ( M ).Thus, the value of ( M ) is (boxed{4761}).]
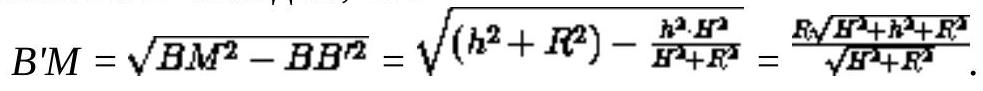
🔑:7.4761 .Let M=overline{a b c d}=A^{2} and M's thousands digit decreases by 3 and the units digit increases by 3 to equal B^{2}. Thenleft{begin{array}{l}A^{2}=1000 a+100 b+10 c+d, B^{2}=1000(a-3)+100 b+10 c+(d+3) .end{array}right.Therefore, A^{2}-B^{2}=2997.Hence (A-B)(A+B)=3^{4} times 37.Since A+B leqslant 2 times 99=198, therefore,left{begin{array}{l}A-B=3^{3}, 37, A+B=3 times 37,3^{4} .end{array}right.Solving yields (A, B, M)=(69,42,4761) or (59, 22,3481) (not valid).
❓:## Problem StatementCalculate the definite integral:int_{0}^{16} sqrt{256-x^{2}} d x
🧠:[<think>Okay, so I need to calculate the definite integral of sqrt(256 - x²) from 0 to 16. Hmm, let me think. The integrand looks like a semicircle equation. Wait, the general form for a semicircle is sqrt(r² - x²), which would be the upper half of a circle with radius r. So here, sqrt(256 - x²) is the same as sqrt(16² - x²), right? So that would be a semicircle with radius 16. But the integral from 0 to 16 of this function would represent the area under the curve from x=0 to x=16. Since it's a semicircle, the entire area from -16 to 16 would be (1/2) * π * r², which is (1/2) * π * 16² = 128π. But we're only integrating from 0 to 16, which is half of that semicircle. Wait, no. Wait, the semicircle spans from -16 to 16. If we take the integral from 0 to 16, that's actually a quarter of the full circle. Because the full circle would be 0 to 2π in polar coordinates, but here, the semicircle is the top half, and integrating from 0 to 16 would be the area in the first quadrant. So the area should be (1/4) of the full circle's area. The full circle's area is π * 16² = 256π, so a quarter of that would be 64π. But wait, let me confirm. Let's not jump to conclusions. Maybe there's a different way to compute it. The integral of sqrt(a² - x²) dx from 0 to a is known to be (π a²)/4. Because integrating from -a to a would be (π a²)/2, so half of that is (π a²)/4. So in this case, a is 16, so the integral from 0 to 16 should be (π * 16²)/4 = (256π)/4 = 64π. So that's the answer? Maybe. But maybe I should do it step by step using substitution to verify. Let's try. The integral of sqrt(256 - x²) dx. Let me recall the standard integral: ∫ sqrt(a² - x²) dx = (x/2) sqrt(a² - x²) + (a²/2) arcsin(x/a) + C. So if we apply that formula here, then the definite integral from 0 to 16 would be:At upper limit 16:(16/2) * sqrt(256 - 16²) + (256/2) * arcsin(16/16)= 8 * sqrt(256 - 256) + 128 * arcsin(1)= 8 * 0 + 128 * (π/2)= 0 + 64π= 64πAt lower limit 0:(0/2) * sqrt(256 - 0) + (256/2) * arcsin(0/16)= 0 + 128 * 0= 0Subtracting the lower limit from the upper limit gives 64π - 0 = 64π. So that confirms the result. But let me make sure I didn't skip any steps. So, substitution method. Let me set x = 16 sinθ. Then dx = 16 cosθ dθ. When x = 0, sinθ = 0, so θ = 0. When x = 16, sinθ = 1, so θ = π/2. The integral becomes:∫ sqrt(256 - (16 sinθ)²) * 16 cosθ dθ from θ=0 to θ=π/2= ∫ sqrt(256 - 256 sin²θ) * 16 cosθ dθ= ∫ sqrt(256(1 - sin²θ)) *16 cosθ dθ= ∫ sqrt(256 cos²θ) *16 cosθ dθ= ∫ 16 cosθ *16 cosθ dθ= 256 ∫ cos²θ dθ from 0 to π/2Now, using the power-reduction identity: cos²θ = (1 + cos2θ)/2. So:256 ∫ (1 + cos2θ)/2 dθ = 128 ∫ (1 + cos2θ) dθ= 128 [ θ + (sin2θ)/2 ] evaluated from 0 to π/2At π/2:128 [ π/2 + (sinπ)/2 ] = 128 [ π/2 + 0 ] = 64πAt 0:128 [ 0 + (sin0)/2 ] = 0Subtracting gives 64π. Same result. Therefore, the definite integral is 64π. So I think that's the answer. Both methods lead to the same conclusion, so I feel confident about it. Just to recap: Recognizing that the integrand is a semicircle function, using the standard integral formula, and trigonometric substitution all lead to the result 64π. Therefore, the answer is 64π.Final AnswerThe value of the definite integral is boxed{64pi}.</think>To calculate the definite integral (int_{0}^{16} sqrt{256 - x^2} , dx), we recognize that the integrand (sqrt{256 - x^2}) represents the upper half of a circle with radius 16. The integral from 0 to 16 corresponds to the area of a quarter of this circle.The area of a full circle with radius 16 is (pi times 16^2 = 256pi). Therefore, the area of a quarter-circle (from 0 to 16) is (frac{1}{4} times 256pi = 64pi).To verify, we use the standard integral formula for (int sqrt{a^2 - x^2} , dx), which is (frac{x}{2} sqrt{a^2 - x^2} + frac{a^2}{2} arcsinleft(frac{x}{a}right) + C). Applying this formula with (a = 16):[left[ frac{x}{2} sqrt{256 - x^2} + frac{256}{2} arcsinleft(frac{x}{16}right) right]_{0}^{16}]Evaluating at the upper limit 16:[frac{16}{2} sqrt{256 - 16^2} + 128 arcsin(1) = 8 cdot 0 + 128 cdot frac{pi}{2} = 64pi]Evaluating at the lower limit 0:[frac{0}{2} sqrt{256 - 0} + 128 arcsin(0) = 0 + 0 = 0]Subtracting the lower limit result from the upper limit result gives (64pi - 0 = 64pi).Using trigonometric substitution (x = 16 sintheta), the integral transforms to:[256 int_{0}^{pi/2} cos^2theta , dtheta]Using the power-reduction identity (cos^2theta = frac{1 + cos 2theta}{2}):[128 int_{0}^{pi/2} (1 + cos 2theta) , dtheta = 128 left[ theta + frac{sin 2theta}{2} right]_{0}^{pi/2} = 64pi]Thus, the value of the definite integral is (boxed{64pi}).,<think>Alright, so I need to calculate the definite integral of sqrt(256 - x²) from 0 to 16. Hmm, okay. Let me think. The integrand is sqrt(256 - x²), which looks familiar. I remember that integrals of the form sqrt(a² - x²) usually relate to the area of a semicircle or something trigonometric. Maybe a substitution? Like x = a sinθ? Let me try that.First, let's note that 256 is 16 squared. So, the integral becomes sqrt(16² - x²) dx from 0 to 16. So, if I use the substitution x = 16 sinθ, then dx would be 16 cosθ dθ. Let's try that.When x = 0, sinθ = 0, so θ = 0. When x = 16, sinθ = 1, so θ = π/2. That transforms the limits from 0 to π/2. Then, substituting into the integral:sqrt(16² - (16 sinθ)²) * 16 cosθ dθSimplify the square root:sqrt(256 - 256 sin²θ) = sqrt(256(1 - sin²θ)) = sqrt(256 cos²θ) = 16 cosθSo now, the integral becomes 16 cosθ * 16 cosθ dθ from θ=0 to θ=π/2. That's 256 cos²θ dθ.Wait, so integral of 256 cos²θ dθ from 0 to π/2. To integrate cos²θ, I remember there's a power-reduction identity: cos²θ = (1 + cos2θ)/2. So, substituting that in:256 * integral from 0 to π/2 of (1 + cos2θ)/2 dθWhich simplifies to 256*(1/2) integral of (1 + cos2θ) dθ = 128 [ integral of 1 dθ + integral of cos2θ dθ ]Calculating the integrals:Integral of 1 dθ from 0 to π/2 is [θ] from 0 to π/2 = π/2 - 0 = π/2Integral of cos2θ dθ. Let me make a substitution here. Let u = 2θ, then du = 2 dθ, so dθ = du/2. When θ=0, u=0; θ=π/2, u=π. But wait, changing the limits complicates things. Alternatively, the integral of cos2θ is (1/2) sin2θ. Let's check:d/dθ [ (1/2) sin2θ ] = (1/2)*2 cos2θ = cos2θ. Yes, that works. So:Integral of cos2θ dθ from 0 to π/2 is (1/2) sin2θ evaluated from 0 to π/2.At π/2: (1/2) sin(π) = (1/2)(0) = 0At 0: (1/2) sin0 = 0So, the integral of cos2θ from 0 to π/2 is 0 - 0 = 0.Therefore, the entire expression becomes 128 [ π/2 + 0 ] = 128*(π/2) = 64πWait, so the answer is 64π? Let me verify that. Alternatively, maybe there's a geometric interpretation. The integral of sqrt(a² - x²) from 0 to a is (π a²)/4, since it's a quarter of the area of a circle with radius a. Let's check that.If a = 16, then the area would be (π * 16²)/4 = (256π)/4 = 64π. Yep, that's exactly the same result. So both methods give the same answer, which is reassuring.Therefore, the definite integral of sqrt(256 - x²) from 0 to 16 is 64π.Final AnswerThe value of the integral is boxed{64pi}.</think>To calculate the definite integral (int_{0}^{16} sqrt{256 - x^2} , dx), we recognize that the integrand (sqrt{256 - x^2}) is the equation of the upper half of a circle with radius 16. The integral from 0 to 16 represents the area of a quarter of this circle.The area of a full circle with radius 16 is (pi times 16^2 = 256pi). Since the integral from 0 to 16 covers a quarter of the circle, the area is:[frac{1}{4} times 256pi = 64pi]We can also verify this using a trigonometric substitution. Let (x = 16 sin theta), then (dx = 16 cos theta , dtheta). The limits of integration change from (x = 0) to (theta = 0) and from (x = 16) to (theta = frac{pi}{2}). Substituting these into the integral:[int_{0}^{16} sqrt{256 - x^2} , dx = int_{0}^{frac{pi}{2}} sqrt{256 - (16 sin theta)^2} times 16 cos theta , dtheta]Simplifying the integrand:[sqrt{256(1 - sin^2 theta)} = 16 cos theta]Thus, the integral becomes:[int_{0}^{frac{pi}{2}} 16 cos theta times 16 cos theta , dtheta = 256 int_{0}^{frac{pi}{2}} cos^2 theta , dtheta]Using the power-reduction identity (cos^2 theta = frac{1 + cos 2theta}{2}):[256 int_{0}^{frac{pi}{2}} frac{1 + cos 2theta}{2} , dtheta = 128 left[ int_{0}^{frac{pi}{2}} 1 , dtheta + int_{0}^{frac{pi}{2}} cos 2theta , dtheta right]]Evaluating the integrals:[int_{0}^{frac{pi}{2}} 1 , dtheta = left[ theta right]_{0}^{frac{pi}{2}} = frac{pi}{2}][int_{0}^{frac{pi}{2}} cos 2theta , dtheta = left[ frac{sin 2theta}{2} right]_{0}^{frac{pi}{2}} = 0]Combining these results:[128 left( frac{pi}{2} + 0 right) = 64pi]Thus, the value of the integral is (boxed{64pi}).]
🔑:## Solutionint_{0}^{16} sqrt{256-x^{2}} d x=Substitution:begin{aligned}& x=16 sin t Rightarrow d x=16 cos t d t & x=0 Rightarrow t=arcsin frac{0}{16}=0 & x=16 Rightarrow t=arcsin frac{16}{16}=frac{pi}{2}end{aligned}We get:begin{aligned}& =int_{0}^{pi / 2} sqrt{256-256 sin ^{2} t} cdot 16 cos t d t=int_{0}^{pi / 2} 16 cos t cdot 16 cos t d t= & =256 cdot int_{0}^{pi / 2} cos ^{2} t d t=256 cdot int_{0}^{pi / 2} frac{1+cos 2 t}{2} d t=128 cdot int_{0}^{pi / 2}(1+cos 2 t) d t= & =left.128left(t+frac{1}{2} sin 2 tright)right|_{0} ^{pi / 2}=128left(frac{pi}{2}+frac{1}{2} sin piright)-128left(0+frac{1}{2} sin 0right)= & =128left(frac{pi}{2}+frac{1}{2} cdot 0right)-128left(0+frac{1}{2} cdot 0right)=64 piend{aligned}Source — «http://pluspi.org/wiki/index.php/������������ %D0%9A%D1%83%D0%B7%D0%BD%D0%B5%D1%86%D0%BE%D0%B2_%D0%98%D0%BD % mathrm{D} 1 % 82 % mathrm{D} 0 % mathrm{~B} 5 % mathrm{D} 0 % mathrm{~B} 3 % mathrm{D} 1 % 80 % mathrm{D} 0 % mathrm{~B} 0 % mathrm{D} 0 % mathrm{BB} % mathrm{D} 1 % 8 mathrm{~B}+12-1 » Categories: Kuznetsov's Problem Book Integrals Problem 12 | Integrals | Problems for Checking- Last modified: 08:56, 9 July 2009.- Content is available under CC-BY-SA 3.0.Problem Kuznetsov Integrals 12-1 — PlusPiCreated by GeeTeatooqquad佂The.Thesquaresquaresquare表qquad.## Problem Kuznetsov Integrals 12-2## Material from PlusPi
❓:8. If x is a real number that satisfiesleftlfloor x+frac{11}{100}rightrfloor+leftlfloor x+frac{12}{100}rightrfloor+cdots+leftlfloor x+frac{99}{100}rightrfloor=765find the value of lfloor 100 xrfloor. Here lfloor arfloor denotes the largest integer leq a.
🧠:[<think>Okay, so I need to solve this problem where I have to find the value of ⌊100x⌋ given that the sum of floor functions from x + 11/100 up to x + 99/100 equals 765. Let me break this down step by step.First, the floor function ⌊a⌋ is the greatest integer less than or equal to a. So, for each term in the sum, we're taking the floor of x plus some fraction between 0.11 and 0.99. The sum of all these floors from 0.11 to 0.99 added to x is 765. The goal is to find the floor of 100x, which would essentially give me the integer part of 100x, meaning the first two decimal places of x as an integer.Let me denote x as n + f, where n is the integer part of x (so n = ⌊x⌋) and f is the fractional part, such that 0 ≤ f < 1. Then, 100x = 100n + 100f, so ⌊100x⌋ = 100n + ⌊100f⌋. Therefore, if I can find n and ⌊100f⌋, I can compute the desired value. Since f is between 0 and 1, 100f is between 0 and 100, so ⌊100f⌋ is an integer between 0 and 99. Therefore, ⌊100x⌋ would be 100n + k, where k is between 0 and 99.But how do I find n and k? Let me think about the given equation. The sum is from k=11 to k=99 of ⌊x + k/100⌋. Let's write x as n + f, so each term becomes ⌊n + f + k/100⌋ = n + ⌊f + k/100⌋. Since n is an integer, it can be pulled out of the floor function. Therefore, the entire sum becomes:Sum_{k=11}^{99} [n + ⌊f + k/100⌋] = (99 - 11 + 1)n + Sum_{k=11}^{99} ⌊f + k/100⌋ = 89n + Sum_{k=11}^{99} ⌊f + k/100⌋ = 765So, 89n + Sum = 765. Therefore, Sum = 765 - 89n. Now, the Sum is the sum of the floor terms, each of which is ⌊f + k/100⌋. Let's analyze this sum.Each term ⌊f + k/100⌋ is the floor of f + k/100. Since 0 ≤ f < 1, and k ranges from 11 to 99, k/100 ranges from 0.11 to 0.99. So, f + k/100 ranges from f + 0.11 to f + 0.99. Since f is less than 1, the maximum possible value of f + k/100 is less than 1 + 0.99 = 1.99. Therefore, each floor term ⌊f + k/100⌋ can be either 0 or 1. Because:- If f + k/100 < 1, then the floor is 0.- If f + k/100 ≥ 1, then the floor is 1.Wait, is that right? Let me check.Suppose f + k/100 is, for example, 0.5 + 0.5 = 1.0. Then the floor is 1. If it's 0.6 + 0.4 = 1.0, floor is 1. But if f is 0.3 and k/100 is 0.2, then the sum is 0.5, floor is 0. Wait, but here k ranges from 11 to 99, so k/100 is at least 0.11. So f + k/100 is at least f + 0.11. Since f is at least 0, the minimum value is 0.11, so the floor is 0 unless f + k/100 ≥ 1, in which case the floor is 1. Therefore, each term in the sum is either 0 or 1. Therefore, the sum Sum_{k=11}^{99} ⌊f + k/100⌋ is equal to the number of terms where f + k/100 ≥ 1, i.e., the number of k in 11 to 99 such that k/100 ≥ 1 - f. Which can be rewritten as k ≥ 100(1 - f).Therefore, the number of terms where k ≥ 100(1 - f). Let's denote m = 100(1 - f). Then, the number of terms where k ≥ m. But k is an integer from 11 to 99, so m must be a real number. Therefore, the number of terms is 99 - ceil(m) + 1. Wait, let's think carefully.If we have k ≥ m, where m is a real number, then the smallest integer k satisfying this is ceil(m). The number of terms from ceil(m) to 99 inclusive is 99 - ceil(m) + 1 = 100 - ceil(m). Therefore, Sum = 100 - ceil(m) = 100 - ceil(100(1 - f)).But m = 100(1 - f) = 100 - 100f. Therefore, ceil(m) = ceil(100 - 100f) = 100 - floor(100f). Since ceil(100 - 100f) = 100 - floor(100f) because 100f is a real number, and ceil(100 - a) = 100 - floor(a) if a is not an integer. Wait, let me verify:Suppose a = 100f. Then ceil(100 - a) = 100 - floor(a) if a is not an integer, right? For example, if a = 50.3, then 100 - a = 49.7, ceil(49.7) = 50, and 100 - floor(50.3) = 100 - 50 = 50. Similarly, if a = 50.0, then ceil(100 - 50.0) = 50, and 100 - floor(50.0) = 100 - 50 = 50. So even if a is integer, the formula holds. Therefore, ceil(100 - a) = 100 - floor(a) for any real number a. Therefore, ceil(m) = 100 - floor(100f). Therefore, the Sum is 100 - ceil(m) = 100 - (100 - floor(100f)) = floor(100f). Therefore, Sum = floor(100f).Wait, that's interesting. So the Sum_{k=11}^{99} ⌊f + k/100⌋ = floor(100f). Therefore, going back to the equation:89n + floor(100f) = 765.But floor(100f) is exactly k, which is the value we need for ⌊100x⌋, which is 100n + k. Therefore, the equation is 89n + k = 765, where k = floor(100f), and k is between 0 and 99. So we need to solve 89n + k = 765, with k in [0,99], and n is an integer.So let's write 89n = 765 - k. Since k is between 0 and 99, 765 - k is between 765 - 99 = 666 and 765 - 0 = 765. Therefore, 89n must be in [666, 765]. Let's find n such that 89n is in this interval.Calculate 666 / 89: 89*7=623, 89*8=712. 712 is less than 666? Wait, 89*7=623, 89*7.5=667.5. So 89*7.5≈667.5. Therefore, 666 /89≈7.48. So n must be at least 8? Wait, but 89*8=712. 712 is greater than 666. Wait, wait, no, 666 is the lower bound. So 89n must be at least 666, so n must be at least 666/89≈7.48, so the smallest integer n is 8. Then, the upper bound is 765. 89n ≤765. So n ≤765/89≈8.595. So n must be 8. Because n must be integer, so n=8.Therefore, n=8. Then, 89*8=712. Then, k=765-712=53. So k=53. Therefore, floor(100f)=53. Therefore, 100f is in [53,54), so f is in [0.53,0.54). Therefore, x = n + f = 8 + f, so x is in [8.53,8.54). Then, 100x is in [853,854), so ⌊100x⌋=853. Therefore, the answer is 853.Wait, but let me check again. Because in the step where I said Sum = floor(100f), is that correct?Let me verify. Suppose floor(100f) = k, so 100f is in [k, k+1), so f is in [k/100, (k+1)/100). Then, 1 - f is in [(100 - (k+1))/100, (100 - k)/100) = [(99 - k)/100, (100 - k)/100). Therefore, m = 100(1 - f) is in [99 - k, 100 - k). Therefore, ceil(m) = 100 - k, because m is in [99 - k, 100 - k), so the ceiling of m is 100 - k when k is between 0 and 99. Then, Sum = 100 - ceil(m) = 100 - (100 - k) = k. Therefore, yes, Sum = floor(100f). Therefore, the previous conclusion is correct.Therefore, with n=8, k=53, floor(100x) = 100n +k = 800 +53=853. Therefore, the answer is 853. Let me check with an example.Suppose x=8.53, which is in [8.53,8.54). Then, floor(x + 0.11) = floor(8.64) =8. Wait, but x + k/100. For k=89, which is 0.89. x +0.89=8.53+0.89=9.42, floor is 9. Wait, but according to the previous logic, each term is either 0 or 1? Wait, that can't be right.Wait, hold on, I think I made a mistake here. Earlier, I thought that ⌊f + k/100⌋ is either 0 or 1, but if x is n + f, then x + k/100 = n + f + k/100. Therefore, ⌊x +k/100⌋ = n + ⌊f + k/100⌋. So, if f +k/100 is less than 1, then floor is n, otherwise n +1. So each term in the sum is either n or n+1.But wait, in the previous analysis, I said that Sum_{k=11}^{99} [n + ⌊f +k/100⌋] =89n + Sum_{k=11}^{99}⌊f +k/100⌋. And then, each ⌊f +k/100⌋ is 0 or 1, so Sum is equal to the number of times ⌊f +k/100⌋=1. But actually, when you have ⌊f +k/100⌋, if f +k/100 >=1, then ⌊f +k/100⌋ =1, otherwise 0. So the Sum is the count of k where f +k/100 >=1, which is equivalent to k >=100(1 -f). As before. Then, the number of such k is 99 - m +1, where m is the smallest integer >=100(1 -f). Wait, but this seems to be correct.But in my example, if x=8.53, so n=8, f=0.53. Then, 100(1 -f)=100*(0.47)=47. Therefore, k >=47. So k from 47 to99. Therefore, the number of terms is 99 -47 +1=53. Therefore, Sum =53. Then, 89n +Sum=89*8 +53=712+53=765. Which matches the given equation. Therefore, x=8.53 is indeed in the range where this holds. Then, 100x=853, so floor(100x)=853. Therefore, the answer is 853.But wait, let's take x=8.535, which is in [8.53,8.54). Then, f=0.535, 100(1 -f)=100*(0.465)=46.5. So k >=46.5, so k=47 to99. Number of terms=99-47 +1=53. So Sum=53. Then, 89*8 +53=765. So even if x is 8.535, it's still valid. Therefore, as long as f is in [0.53,0.54), which corresponds to 100f in [53,54), so k=53. Therefore, floor(100x)=800 +53=853.Therefore, the answer should be 853. Let me check with the edge case. If x=8.53, then k=47 to99, which is 53 terms. If x=8.539999..., same result. If x is exactly 8.54, then f=0.54, 100(1 -f)=46, so k >=46, so terms from46 to99. But k starts at11, so from46 to99. Number of terms=99-46 +1=54. Then Sum=54. So 89n +54=89*8 +54=712 +54=766, which is more than765. Therefore, x cannot be 8.54. Therefore, x must be less than8.54. Similarly, if x is 8.53, but f=0.53, 100(1 -f)=47, so k>=47. So terms from47 to99, which is 53 terms. So Sum=53. 89*8 +53=765. So x=8.53 is valid.Therefore, the value of ⌊100x⌋ is 853. Therefore, the answer is boxed{853}Final Answerboxed{853}</think>Given the problem, we need to find the value of (lfloor 100x rfloor) where (x) is a real number satisfying the equation:[leftlfloor x + frac{11}{100} rightrfloor + leftlfloor x + frac{12}{100} rightrfloor + cdots + leftlfloor x + frac{99}{100} rightrfloor = 765]1. Decompose (x) into integer and fractional parts: - Let (x = n + f) where (n = lfloor x rfloor) (integer part) and (0 leq f < 1) (fractional part).2. Rewrite the given equation: - Each term (leftlfloor x + frac{k}{100} rightrfloor) can be written as (n + leftlfloor f + frac{k}{100} rightrfloor). - The sum becomes: [ sum_{k=11}^{99} left( n + leftlfloor f + frac{k}{100} rightrfloor right) = 89n + sum_{k=11}^{99} leftlfloor f + frac{k}{100} rightrfloor = 765 ]3. Simplify the sum of floor functions: - The term (leftlfloor f + frac{k}{100} rightrfloor) is 1 if (f + frac{k}{100} geq 1) and 0 otherwise. - This count is equivalent to the number of (k) such that (k geq 100(1 - f)).4. Determine the number of valid (k): - Let (m = 100(1 - f)). The number of (k) from 11 to 99 that satisfy (k geq lceil m rceil) is (99 - lceil m rceil + 1 = 100 - lceil m rceil). - Since (lceil m rceil = 100 - lfloor 100f rfloor), the count simplifies to (lfloor 100f rfloor).5. Solve for (n) and (lfloor 100f rfloor): - The equation becomes (89n + lfloor 100f rfloor = 765). - (lfloor 100f rfloor) must be an integer between 0 and 99. Solving for (n): - (89n leq 765) and (89n geq 765 - 99) - (n = 8) (since (89 times 8 = 712) and (765 - 712 = 53)).6. Conclusion: - (lfloor 100f rfloor = 53), so (lfloor 100x rfloor = 100n + lfloor 100f rfloor = 100 times 8 + 53 = 853).Thus, the value of (lfloor 100x rfloor) is (boxed{853}).,<think>Okay, so I need to solve this problem where there's a real number x that satisfies a big floor function sum. The sum starts from floor(x + 11/100) and goes all the way up to floor(x + 99/100), and the total is 765. I need to find floor(100x). Hmm. Let me try to parse this step by step.First, let me recall that the floor function, floor(a), is the greatest integer less than or equal to a. So, for example, floor(3.2) is 3, floor(-1.7) is -2, and so on. So each term in this sum is the floor of x plus some fraction between 0.11 and 0.99. The sum of all these terms is 765. The challenge is to find floor(100x), which would essentially be the integer part of 100x. So if x is, say, 3.456, then 100x is 345.6, and floor(100x) would be 345.Since the problem involves x being added to fractions in increments of 0.01 (since 11/100 is 0.11, 12/100 is 0.12, etc.), it might be helpful to consider writing x as n + f, where n is an integer and 0 ≤ f < 1. But actually, since we're dealing with 100x, maybe it's better to write x as k/100 + δ, where k is an integer and 0 ≤ δ < 1/100. That way, 100x would be k + 100δ, so floor(100x) would be k. So if I can find k, that's the answer. So my goal is to find k such that x = k/100 + δ, where δ is between 0 (inclusive) and 0.01 (exclusive). Then floor(100x) = k. So I need to find k.So given that x is in the interval [k/100, (k+1)/100), the problem is to determine k such that when we compute the sum of floor(x + m/100) for m from 11 to 99, the total is 765. Let's note that the number of terms in the sum is from m=11 to m=99, which is 99 - 11 + 1 = 89 terms. So 89 terms sum up to 765. Let me check: 89 terms, each term being floor(x + m/100). Each floor function can be written as floor(x) + floor(frac(x) + m/100) or something like that? Wait, maybe not. Let's think again.Wait, if x is a real number, then x + m/100 is a real number, and floor(x + m/100) is the integer part of that. So, if we let x = N + f, where N is an integer and 0 ≤ f < 1, then x + m/100 = N + f + m/100, and floor(x + m/100) = N + floor(f + m/100). Therefore, each term in the sum is N + floor(f + m/100). Therefore, the sum would be 89*N + sum_{m=11}^{99} floor(f + m/100). Since the total sum is 765, we can write:89*N + sum_{m=11}^{99} floor(f + m/100) = 765.But x = N + f, so since we are looking for floor(100x) = floor(100N + 100f) = 100N + floor(100f). Since 0 ≤ f < 1, 0 ≤ 100f < 100, so floor(100f) is an integer between 0 and 99. So floor(100x) = 100N + k, where k = floor(100f). Therefore, our target is to find 100N + k. So perhaps first, we can find N and k, where k is between 0 and 99, such that x = (100N + k)/100 + δ, where 0 ≤ δ < 1/100.Alternatively, let me consider the problem with x written as n + d, where n is an integer and 0 ≤ d < 1. Then floor(x + m/100) = floor(n + d + m/100) = n + floor(d + m/100). So the entire sum is 89n + sum_{m=11}^{99} floor(d + m/100) = 765. Therefore, 89n + sum_{m=11}^{99} floor(d + m/100) = 765. So first, we can solve for possible integer n, such that 89n is less than 765, and the remaining sum is 765 - 89n. Let me compute 765 divided by 89. Let's do that.89*8 = 712, 89*9 = 801, which is more than 765. So 89n must be 89*8=712, so n=8, then the remaining sum is 765 - 712 = 53. Therefore, sum_{m=11}^{99} floor(d + m/100) = 53. So now, the problem reduces to finding d in [0,1) such that the sum of floor(d + m/100) from m=11 to 99 is 53. Then, once we find d, we can compute floor(100x) = floor(100(n + d)) = 100n + floor(100d). Since n=8, floor(100x) would be 800 + floor(100d). Therefore, we need to find floor(100d), which is k, where k is between 0 and 99.So now, the problem is to find d in [0,1) such that sum_{m=11}^{99} floor(d + m/100) = 53. Let's note that floor(d + m/100) is the integer part of d + m/100. So for each m, depending on d, floor(d + m/100) can be 0 or 1. Wait, no, because m ranges from 11 to 99, so m/100 ranges from 0.11 to 0.99. Then d is between 0 and 1, so d + m/100 can range from 0.11 to just under 2. Therefore, floor(d + m/100) can be either 0 or 1 when d + m/100 is between 0.11 and 1.99. However, if d + m/100 is >=1, then floor(d + m/100) is 1; otherwise, it's 0. Wait, no, actually floor(d + m/100) is the integer part. For example, if d + m/100 is 1.2, then floor(1.2) = 1. If d + m/100 is 0.9, floor(0.9) = 0. So the floor is 0 when d + m/100 <1, and 1 when 1 ≤ d + m/100 <2. But since d is less than 1 and m/100 is less than 1, the maximum d + m/100 is less than 1 + 1 = 2, so floor can be 0 or 1. Therefore, floor(d + m/100) is 1 if d + m/100 >=1, and 0 otherwise. Therefore, floor(d + m/100) = 1 if d >=1 - m/100, else 0.Therefore, for each m, floor(d + m/100) is 1 when d >= 1 - m/100. Therefore, the sum over m=11 to 99 of floor(d + m/100) is equal to the number of m's for which d >=1 - m/100. So, let's think of it as the number of m in [11,99] such that m/100 <= d + m/100 >=1, which is equivalent to m/100 >=1 - d. Wait, no:Wait, floor(d + m/100) is 1 if d + m/100 >=1, which is equivalent to m/100 >=1 - d. Therefore, for each m from 11 to 99, if m/100 >=1 - d, then floor(d + m/100)=1, otherwise 0. Therefore, the number of m's where m/100 >=1 - d is equal to the sum, which is 53. So we need to find d such that the number of m in [11,99] with m >=100*(1 - d) is 53.But m is integer, so m >= ceiling(100*(1 - d)). The number of m's from 11 to 99 that are >= ceiling(100*(1 - d)) is 53. Let's denote t = ceiling(100*(1 - d)), then the number of m's >=t in [11,99] is 99 - t +1 = 100 - t. But wait, when m ranges from 11 to 99 inclusive, the number of terms is 89. So if t is the lower bound, then the number of m >=t is 99 - t +1 if t >=11. If t <11, then all 89 terms. But in our case, we need the number of m >=t to be 53. Therefore, 99 - t +1 =53 => 100 - t =53 => t =47. Therefore, t=47. Therefore, ceiling(100*(1 - d))=47. Therefore, 100*(1 - d) is in (46,47], so 1 - d is in (0.46,0.47], so d is in [1 - 0.47,1 - 0.46) = [0.53,0.54). Therefore, d is in [0.53,0.54). Therefore, since d is in [0,1), this is a valid interval. Therefore, d is between 0.53 and 0.54. Therefore, since x = n + d, and we had earlier n=8, so x=8 + d, so x is in [8.53,8.54). Therefore, 100x is in [853,854), so floor(100x)=853. Wait, but according to the problem statement, floor(100x). So is that the answer? 853?Wait, let me check again. So we had x = n + d, with n=8, d ∈ [0.53,0.54). Then 100x = 100*8 + 100d = 800 + 100d. Since d is in [0.53,0.54), 100d is in [53,54). Therefore, floor(100x)=800 + 53 =853. Therefore, the answer should be 853. But let me confirm the steps once again to make sure I didn't make a mistake.Starting with the original equation:sum_{m=11}^{99} floor(x + m/100) =765.Expressed x as n + d, n integer, 0 ≤ d <1. Then each term floor(n + d + m/100)=n + floor(d + m/100). Therefore, sum becomes 89n + sum_{m=11}^{99} floor(d + m/100)=765.Divided 765 by 89: 89*8=712, 765-712=53. So sum of floor(d + m/100)=53. Then, for each m, floor(d + m/100) is 1 if d + m/100 ≥1, else 0. Therefore, the number of m where d + m/100 ≥1 is 53. So, that is equivalent to the number of m where m/100 ≥1 -d. Thus, m ≥100*(1 -d). The number of m from 11 to 99 satisfying m ≥100*(1 -d) is 53. So, 99 - ceiling(100*(1 -d)) +1 =53. So 100 - ceiling(100*(1 -d))=53, so ceiling(100*(1 -d))=47. Hence, 100*(1 -d) is in (46,47], so 1 -d is in (0.46,0.47], hence d is in [0.53,0.54). Then, floor(100d)=53, so floor(100x)=800 +53=853. So the answer should be 853.But let me test this with an example. Suppose d=0.53, so x=8.53. Then, for each m from 11 to 99, floor(8.53 + m/100)=floor(8.53 + 0.m). Wait, but m is from 11 to 99. Let's take m=11: 0.11, so 8.53 +0.11=8.64, floor is 8. Hmm, but floor(8.64)=8. Wait, but according to our earlier logic, floor(d + m/100) is 1 if d + m/100 ≥1. Wait, but d=0.53. So d + m/100=0.53 + m/100. For m=11, that's 0.53 +0.11=0.64, which floor is 0. Wait, but floor(0.64)=0, but in the original sum, floor(x + m/100)=floor(8.53 +0.11)=floor(8.64)=8. But according to our decomposition, n=8, and floor(d + m/100)=floor(0.53 +0.11)=floor(0.64)=0. Therefore, the term would be 8 +0=8. Then, the sum over all m would be 89*8 + sum_{m}(floor(d + m/100))=712 + sum. But if floor(d + m/100) is 0 for m=11,12,...,46 and 1 for m=47,...,99. Because when m=47, d + m/100=0.53 +0.47=1.00, which would floor to 1. So m from 47 to 99: 99-47+1=53 terms. So sum_{m=11}^{99} floor(d + m/100)=53*1 + (46-11+1)*0=53. Wait, but m from 47 to 99 is 53 terms, right? 99-47+1=53. So sum is 53. Therefore, total sum is 712 +53=765, which matches. Therefore, when d=0.53, x=8.53, which gives floor(100x)=853. Similarly, if d is approaching 0.54, say 0.539999..., then floor(100x)=853 as well. So the answer is 853. Therefore, I think that's correct. So the final answer is 853.Final Answerboxed{853}</think>Given the problem where a real number ( x ) satisfies the equation:[leftlfloor x + frac{11}{100} rightrfloor + leftlfloor x + frac{12}{100} rightrfloor + cdots + leftlfloor x + frac{99}{100} rightrfloor = 765]we need to find the value of ( lfloor 100x rfloor ).First, we note that the number of terms in the sum is ( 99 - 11 + 1 = 89 ). Let ( x = n + d ) where ( n ) is an integer and ( 0 leq d < 1 ). Each term in the sum can be written as ( lfloor n + d + frac{m}{100} rfloor = n + lfloor d + frac{m}{100} rfloor ). Therefore, the equation becomes:[89n + sum_{m=11}^{99} leftlfloor d + frac{m}{100} rightrfloor = 765]We find ( n ) by dividing 765 by 89. Since ( 89 times 8 = 712 ) and ( 89 times 9 = 801 ), we get ( n = 8 ). The remaining sum is:[765 - 712 = 53]Thus, we need:[sum_{m=11}^{99} leftlfloor d + frac{m}{100} rightrfloor = 53]The term ( lfloor d + frac{m}{100} rfloor ) is 1 if ( d + frac{m}{100} geq 1 ) and 0 otherwise. This translates to finding ( d ) such that ( m geq 100(1 - d) ). The number of ( m ) values from 11 to 99 that satisfy this is 53. Let ( t = lceil 100(1 - d) rceil ). Then:[99 - t + 1 = 53 implies t = 47]Thus, ( 100(1 - d) ) is in the interval ( (46, 47] ), giving:[1 - d in (0.46, 0.47] implies d in [0.53, 0.54)]Since ( x = 8 + d ), ( 100x ) is in the interval ( [853, 854) ). Therefore, ( lfloor 100x rfloor = 853 ).The final answer is:[boxed{853}]]
🔑:8. Ans: 853First observe that leftlfloor x+frac{k}{00}rightrfloor=lfloor xrfloor or lfloor xrfloor+1 for 11 leq k leq 99. Since there are 89 terms on the left-hand side of the equation and 89 times 8<765<89 times 9, we deduce that lfloor xrfloor=8. Now suppose leftlfloor x+frac{k}{100}rightrfloor=8 for 11 leq k leq m and leftlfloor x+frac{k}{100}rightrfloor=9 for m+1 leq k leq 99. Then8(m-10)+9(99-m)=765,which gives m=46. Therefore leftlfloor x+frac{46}{100}rightrfloor=8 and leftlfloor x+frac{47}{100}rightrfloor=9, which imply 8 leq x+frac{46}{100}<9 and 9 leq x+frac{47}{100}<10 respectively. The inequalities lead to 7.54 leq x<8.54 and 8.53 leq x<9.53. Consequently, we see that 8.53 leq x<8.54. Hence we conclude that [100 x]=853.
❓:Factorize: 2x^{2}-18=____.
🧠:[<think>Okay, so I need to factorize the expression 2x² - 18. Hmm, let me think. Alright, factoring. Let's start by recalling what factoring means. It's like breaking down an expression into simpler parts that can be multiplied together to get the original expression. First, I should check if there's a common factor in both terms. The terms here are 2x² and -18. Let me see. The coefficients are 2 and 18. The greatest common factor (GCF) of 2 and 18 is 2, right? Because 2 divides into both 2 and 18. So maybe I can factor out a 2 first. Let me try that.If I factor out 2 from each term, the expression becomes:2(x²) - 2(9) = 2(x² - 9)Wait, that seems right. So 2x² - 18 is equal to 2 times (x² - 9). But now, can I factor this further? The expression inside the parentheses is x² - 9. Hmm, that looks familiar. Isn't that a difference of squares? Because x squared is a square of x, and 9 is a square of 3. So, a² - b² = (a - b)(a + b). Yeah, so the difference of squares formula applies here.So, applying that formula to x² - 9, we can write it as (x - 3)(x + 3). Therefore, substituting back into the previous expression:2(x² - 9) = 2(x - 3)(x + 3)Let me check if that's correct. Let me multiply it back. Starting with 2(x - 3)(x + 3). First multiply (x - 3)(x + 3):x times x is x², x times 3 is 3x, -3 times x is -3x, and -3 times 3 is -9. So combining like terms: 3x - 3x cancels out, leaving x² - 9. Then multiply by 2: 2(x² - 9) = 2x² - 18. Yes, that matches the original expression. So, the factorization is correct. Therefore, the completely factored form of 2x² - 18 is 2(x - 3)(x + 3). Let me just verify once more to be sure. Alternatively, if I didn't factor out the 2 first, would there be another way? Let's see. The original expression is 2x² - 18. If I try to factor without taking out the GCF first, is that possible? Let me attempt it. But 2x² and -18 don't have a variable term in common, so the only common factor is the numerical one, which is 2. So factoring out the 2 is necessary first. Otherwise, if I try to write it as (ax + b)(cx + d), let's see. Suppose we try to factor 2x² - 18 as a product of two binomials. But since the coefficient of x² is 2, which is prime, the possible factors would be (2x + something)(x + something else). Let me try that.Let me see. (2x + a)(x + b) = 2x² + (a + 2b)x + ab. Comparing to the original expression, 2x² - 18. So the middle term here is (a + 2b)x, but in the original expression, there is no x term. So (a + 2b) must be zero. And the constant term ab must be -18. So we have two equations:1) a + 2b = 02) ab = -18From the first equation, a = -2b. Substitute into the second equation: (-2b)(b) = -2b² = -18So, -2b² = -18 => 2b² = 18 => b² = 9 => b = 3 or b = -3If b = 3, then a = -2*3 = -6. So the factors would be (2x -6)(x +3). Let's check this:(2x -6)(x +3) = 2x(x) + 2x(3) -6(x) -6(3) = 2x² +6x -6x -18 = 2x² -18. Yeah, that works.Alternatively, if b = -3, then a = -2*(-3) = 6. So the factors would be (2x +6)(x -3). Let's check:(2x +6)(x -3) = 2x(x) +2x(-3) +6(x) +6(-3) = 2x² -6x +6x -18 = 2x² -18. Also works.So, actually, there are two possible factorizations if we don't factor out the GCF first. But the problem is asking for factorization, and typically, the most factored form is when you factor out the GCF first, which gives 2(x² -9) = 2(x-3)(x+3). However, the alternate forms (2x -6)(x +3) or (2x +6)(x -3) are also correct but not fully factored because you can still factor out a 2 from (2x -6) or (2x +6). For instance, (2x -6) is 2(x -3) and (2x +6) is 2(x +3). So, if you factor those out, you get 2*(x -3)*(x +3) again. So, the completely factored form is the one with the GCF factored out first, which is 2(x -3)(x +3). Therefore, the answer should be 2(x -3)(x +3). Let me just confirm once more by expanding:2*(x -3)*(x +3) = 2*(x² +3x -3x -9) = 2*(x² -9) = 2x² -18. Yep, correct.Alternatively, if I factor as (2x -6)(x +3), that's equal to 2x*x + 2x*3 -6*x -6*3 = 2x² +6x -6x -18 = 2x² -18. Same result.But since the problem says "factorize," the expectation is usually to factor completely, which would mean factoring out the GCF first. So the answer should be 2(x -3)(x +3). I think that's it. So the steps are:1. Factor out the GCF, which is 2: 2(x² -9)2. Recognize that x² -9 is a difference of squares: x² -3²3. Apply the difference of squares formula: (x -3)(x +3)4. Combine them: 2(x -3)(x +3)Yep, that works. No further factoring possible here, so that's the final answer.Final AnswerThe factorized form of (2x^{2} - 18) is boxed{2(x - 3)(x + 3)}.</think>To factorize the expression (2x^2 - 18):1. Identify the greatest common factor (GCF) of the terms. The GCF of 2 and 18 is 2.2. Factor out the GCF: [ 2x^2 - 18 = 2(x^2 - 9) ]3. Recognize the difference of squares in the expression (x^2 - 9). The difference of squares formula is (a^2 - b^2 = (a - b)(a + b)).4. Apply the difference of squares formula to (x^2 - 9): [ x^2 - 9 = (x - 3)(x + 3) ]5. Combine the factors: [ 2(x^2 - 9) = 2(x - 3)(x + 3) ]Thus, the factorized form of (2x^2 - 18) is (boxed{2(x - 3)(x + 3)}).,<think>Okay, so I need to factorize the expression 2x² - 18. Let me think about how to approach this. Hmm, factorizing usually involves breaking down the expression into simpler terms that multiply together to give the original expression. First, I remember that when factorizing, it's a good idea to look for common factors in all the terms. Let me check both terms here: 2x² and -18. The coefficients are 2 and -18. The greatest common divisor (GCD) of 2 and 18 is 2. So maybe I can factor out a 2 from both terms. Let me try that.If I factor out a 2, I would divide each term by 2. So 2x² divided by 2 is x², and -18 divided by 2 is -9. That would leave me with 2(x² - 9). Okay, so that's the first step. Now, I have 2 times (x² - 9). Wait, now I need to check if (x² - 9) can be factored further. Hmm, x² minus something... That looks like a difference of squares, right? Because a² - b² factors into (a - b)(a + b). Let me verify. If I have x squared minus 9, that's x² - 3², since 3 squared is 9. Yes! So that is indeed a difference of squares. So, applying the difference of squares formula, x² - 9 would factor into (x - 3)(x + 3). Let me check that by expanding it. (x - 3)(x + 3) = x*x + x*3 - 3*x - 3*3 = x² + 3x - 3x -9 = x² -9. Perfect, that works out. Therefore, substituting back into the previous step, the entire expression 2x² -18 factors into 2*(x - 3)*(x + 3). Let me double-check by expanding everything to make sure I get the original expression. First, multiply (x - 3)(x + 3) to get x² -9, then multiply by 2: 2*(x² -9) = 2x² -18. Yep, that matches the original expression. So that seems correct. Is there any other way this could be factored further? Let me see. The terms 2, (x - 3), and (x + 3) are all prime factors, meaning they can't be broken down further into simpler terms with integer coefficients. So I think this is the complete factorization. Just to recap, the steps were:1. Factor out the greatest common factor, which was 2.2. Recognize that the remaining quadratic is a difference of squares.3. Apply the difference of squares formula to factor it into two binomials.4. Confirm by expanding to ensure there are no mistakes.I don't see any mistakes in the steps, so the final factored form should be 2(x - 3)(x + 3).Final AnswerThe factorized form of (2x^{2}-18) is boxed{2(x - 3)(x + 3)}.</think>To factorize the expression (2x^2 - 18):1. Factor out the greatest common factor (GCF): The GCF of the terms (2x^2) and (-18) is 2. Factoring out 2 gives: [ 2(x^2 - 9) ]2. Factor the remaining quadratic expression: The expression (x^2 - 9) is a difference of squares, since (9 = 3^2). The difference of squares formula (a^2 - b^2 = (a - b)(a + b)) can be applied here: [ x^2 - 9 = (x - 3)(x + 3) ]3. Combine the factors: Substituting the factored form of (x^2 - 9) back into the expression, we get: [ 2(x - 3)(x + 3) ]4. Verification: Expanding (2(x - 3)(x + 3)) confirms it equals the original expression (2x^2 - 18).Thus, the factorized form of (2x^2 - 18) is (boxed{2(x - 3)(x + 3)}).]
🔑:To factorize the given expression 2x^{2}-18, we follow these steps:1. First, we factor out the common factor of 2 from both terms:[2x^{2}-18 = 2(x^{2}-9)]2. Next, we recognize that the expression inside the parentheses is a difference of squares, which can be factored as follows:[x^{2}-9 = (x+3)(x-3)]3. Substituting this back into our expression, we get:[2(x^{2}-9) = 2left(x+3right)left(x-3right)]Therefore, the factorized form of the given expression is boxed{2left(x+3right)left(x-3right)}.
❓:[quad underline{text { Cone }}The vertices of two cones with a common base of radius R and heights equal to H and h are located on opposite sides of the base. Find the angle and the distance between two generatrices of these cones, given that their ends on the circumference of the base limit a quarter of the circumference.
🧠:[<think>Okay, let me try to figure out this cone problem. So, there are two cones with the same base radius R, but different heights H and h. The vertices are on opposite sides of the base. I need to find the angle and the distance between two generatrices (I think those are the slant heights) of these cones, such that the ends on the circumference of the base limit a quarter of the circumference. Hmm, okay. Let's break this down step by step.First, let's visualize the setup. There's a common base, which is a circle with radius R. The two cones have their vertices on opposite sides of this base. So, one cone is pointing upwards with height H, and the other is pointing downwards with height h. The generatrices (generators) are the lines from the vertex to the edge of the base. We need to find the angle between two specific generatrices, one from each cone, whose endpoints on the base circumference are a quarter of the circumference apart. That is, the arc between their endpoints is a quarter of the full circle, which would be 90 degrees apart in angle.So, let me try to model this. Let's place the base circle in the xy-plane, centered at the origin (0,0,0). The first cone (with height H) has its vertex at (0,0,H), and the second cone (with height h) has its vertex at (0,0,-h). The generatrices of these cones would then be lines from (0,0,H) to points on the circumference of the base circle, and similarly from (0,0,-h) to points on the circumference.The problem states that the ends of these two generatrices on the base circumference limit a quarter of the circumference. So, if we take two points on the circumference of the base circle such that the arc between them is a quarter-circle (i.e., 90 degrees or π/2 radians), those are the endpoints of the generatrices we need to consider. Let's denote these two points on the base circle as P and Q. The arc from P to Q along the circumference is a quarter-circle, which means the central angle between them is 90 degrees.To make calculations easier, let's parameterize the points P and Q. Let's set up coordinates such that point P is at (R, 0, 0). Since the arc from P to Q is a quarter-circle in the base, moving counterclockwise (or clockwise, but direction might not matter here), point Q would then be at (0, R, 0). Because moving 90 degrees from (R,0,0) around the circle would lead to (0,R,0). The distance along the arc is a quarter of the circumference, which is (2πR)/4 = πR/2. But the straight-line distance between P and Q on the base is the chord length, which for a 90-degree angle is √(R² + R²) = R√2. But maybe we need the angle between the generatrices, not the chord. Wait, the problem says "the angle and the distance between two generatrices". So, the generatrices are the lines from the vertices to P and Q. Wait, no. Wait, each generatrix is a line from a vertex to a point on the base. So, each cone has its own generatrix. The two generatrices in question are one from the upper cone (vertex at (0,0,H)) to point P, and one from the lower cone (vertex at (0,0,-h)) to point Q. Or maybe both generatrices are from each cone? Wait, the problem says "two generatrices of these cones", so one from each cone. Their ends on the circumference limit a quarter of the circumference. So, one generatrix is from the upper cone ending at P, and the other is from the lower cone ending at Q, where P and Q are a quarter circumference apart. So, the two generatrices are lines from (0,0,H) to P and from (0,0,-h) to Q, with arc PQ = 1/4 circumference.So, to find the angle between these two lines (generatrices), and the distance between them. Wait, the problem says "the angle and the distance between two generatrices". So, angle between the lines and the minimal distance between them? Hmm. Let me check the problem statement again: "Find the angle and the distance between two generatrices of these cones, given that their ends on the circumference of the base limit a quarter of the circumference." So, the two generatrices (one from each cone) have their endpoints on the base such that the arc between the endpoints is a quarter of the circumference. So, the angle between the two lines (generatrices) and the shortest distance between them.Okay. Let's first find the angle between the two generatrices. To do this, we can find the vectors corresponding to each generatrix and then use the dot product formula to find the angle between them.First, let's define the coordinates of the points. Let’s assume point P is (R, 0, 0) as before, and point Q is (0, R, 0). The upper vertex is V1 = (0, 0, H), and the lower vertex is V2 = (0, 0, -h).So, the generatrix from the upper cone is the line from V1 to P: from (0,0,H) to (R,0,0). The generatrix from the lower cone is the line from V2 to Q: from (0,0,-h) to (0,R,0). Let's write vectors for these two lines.Vector VP (from V1 to P): (R - 0, 0 - 0, 0 - H) = (R, 0, -H)Vector VQ (from V2 to Q): (0 - 0, R - 0, 0 - (-h)) = (0, R, h)Then, the angle θ between these two vectors can be found using the dot product:cosθ = (VP • VQ) / (|VP| |VQ|)Compute the dot product:VP • VQ = (R)(0) + (0)(R) + (-H)(h) = 0 + 0 - Hh = -HhCompute |VP|:|VP| = √(R² + 0² + (-H)²) = √(R² + H²)Similarly, |VQ| = √(0² + R² + h²) = √(R² + h²)Therefore,cosθ = (-Hh) / (√(R² + H²) √(R² + h²))Therefore, the angle θ is arccos(-Hh / (√(R² + H²) √(R² + h²)))But angles between lines are usually considered as the acute angle, but here the cosine is negative, which would give an obtuse angle. However, in 3D space, the angle between two lines is defined as the smallest angle between their direction vectors, so perhaps we should take the absolute value. Wait, the formula using the dot product gives the angle between the vectors, which can be obtuse. However, the angle between two lines is defined as the smallest angle between them, so if the angle calculated is obtuse, we subtract it from 180 degrees. Therefore, the angle between the lines would be π - θ, where θ is the angle calculated from the dot product. Let me verify that.Wait, the angle between two lines is the minimum angle between their direction vectors. So, if the angle between the vectors is θ, then the angle between the lines is min(θ, π - θ). Since the cosine is negative here, θ would be greater than 90 degrees, so the angle between the lines is π - θ. Therefore, we can compute the angle as arccos(|VP • VQ| / (|VP| |VQ|)). So, in this case, that would be arccos(Hh / (√(R² + H²) √(R² + h²))). So, the acute angle between the two generatrices is arccos(Hh / (√(R² + H²) √(R² + h²))). Hmm, perhaps. Let me double-check.Wait, the formula for the angle between two vectors is θ = arccos( (a • b) / (|a||b|) ), which can be from 0 to π. The angle between two lines is defined as the smallest angle between them, so if θ is greater than π/2, then the angle between the lines is π - θ. Therefore, in this case, since the dot product is negative, θ would be in (π/2, π), so the angle between the lines would be π - θ, which is acute. Therefore, we can compute it as arccos( |VP • VQ| / (|VP| |VQ| ) ). So, the angle between the generatrices is arccos( Hh / (√(R² + H²) √(R² + h²)) ). That makes sense. So, that would be the angle.Now, moving on to the distance between the two generatrices. The distance between two skew lines in space can be found using the formula:Distance = |(b1 - b2) • (v1 × v2)| / |v1 × v2|Where b1 and b2 are points on each line, and v1 and v2 are the direction vectors of the lines.First, let's parametrize the two generatrices.Generatrix 1: From V1(0,0,H) to P(R,0,0). Let's denote this line as L1. A parametric equation for L1 can be written as:L1: (0,0,H) + t(R, 0, -H), where t ∈ [0,1]Similarly, Generatrix 2: From V2(0,0,-h) to Q(0,R,0). Let's denote this line as L2. A parametric equation for L2 is:L2: (0,0,-h) + s(0, R, h), where s ∈ [0,1]So, the direction vectors for L1 and L2 are v1 = (R, 0, -H) and v2 = (0, R, h), respectively.The vector connecting a point on L1 to a point on L2 is (0 - 0, 0 - 0, -h - H) when t=0 and s=0, but in general, the vector between arbitrary points is (0 + tR - 0, 0 + 0 - sR, H - tH - (-h + s h))?Wait, perhaps it's better to use the formula. Let's recall that the distance between two skew lines is |(b2 - b1) • (v1 × v2)| / |v1 × v2|, where b1 and b2 are points on the first and second lines, respectively.Here, b1 is V1 = (0,0,H), and b2 is V2 = (0,0,-h). So, b2 - b1 = (0,0,-h) - (0,0,H) = (0,0,-h - H)Then, compute v1 × v2:v1 = (R, 0, -H)v2 = (0, R, h)Cross product:i j kR 0 -H0 R h= i*(0* h - (-H)* R) - j*(R* h - (-H)*0) + k*(R* R - 0*0)= i*(0 + HR) - j*(Rh - 0) + k*(R² - 0)= (HR, -Rh, R²)So, v1 × v2 = (HR, -Rh, R²)Then, compute the dot product (b2 - b1) • (v1 × v2):(0,0,-H - h) • (HR, -Rh, R²) = 0*HR + 0*(-Rh) + (-H - h)*R² = (-H - h) R²The absolute value is |(-H - h) R²| = (H + h) R²The magnitude of v1 × v2 is |(HR, -Rh, R²)| = √[(HR)^2 + (-Rh)^2 + (R²)^2] = √[H² R² + R² h² + R^4] = R √[H² + h² + R²]Therefore, the distance is (H + h) R² / (R √(H² + h² + R²)) ) = (H + h) R / √(H² + h² + R²)Simplify:Distance = R(H + h) / √(R² + H² + h²)Wait, let me check the cross product again. v1 × v2:First component: (0* h - (-H)* R) = 0 + HR = HRSecond component: - (R* h - (-H)*0) = - (Rh - 0) = -RhThird component: (R* R - 0*0) = R² - 0 = R²Yes, so cross product is (HR, -Rh, R²). Then magnitude squared is (HR)^2 + (-Rh)^2 + (R²)^2 = H² R² + R² h² + R^4 = R²(H² + h² + R²). So magnitude is R sqrt(H² + h² + R²). Then (b2 - b1) • (v1 × v2) = (0,0,-H - h) • (HR, -Rh, R²) = (-H - h) R². Therefore absolute value is (H + h) R². Therefore, distance is (H + h) R² / (R sqrt(H² + h² + R²)) = R(H + h)/sqrt(R² + H² + h²). So, yes, that's the distance between the two generatrices.So, summarizing:Angle between generatrices: arccos( Hh / (√(R² + H²) √(R² + h²)) )Distance between generatrices: R(H + h)/√(R² + H² + h²)But let me check if these make sense dimensionally. The angle is a dimensionless quantity, which is correct. The distance has units of length, which matches. Let's see some edge cases. For example, if H = h = 0, the cones collapse to the base, but that's not possible as heights can't be zero. If H approaches infinity, then the upper generatrix becomes almost horizontal, and the lower one with h fixed. The angle would approach arccos(0) = 90 degrees? Wait, if H is very large, √(R² + H²) ≈ H, so Hh/(H √(R² + h²)) ) = h / √(R² + h²), so angle approaches arccos(h / √(R² + h²)), which is the angle between the lower generatrix and the vertical. Similarly, if H and h are both large, the angle approaches arccos(Hh / (H h)) = arccos(1) = 0, which makes sense as both generatrices become nearly vertical and aligned. Wait, but if H and h are both large, the generatrices from opposite sides would be almost vertical but pointing in opposite directions, so the angle between them should approach 180 degrees. Wait, that contradicts. Hmm, maybe my earlier reasoning is flawed.Wait, suppose H and h are both very large. Then, the upper generatrix is almost vertical downward (since from (0,0,H) to (R,0,0), if H is huge, the direction is nearly (0,0,-1)), and the lower generatrix is almost vertical upward (from (0,0,-h) to (0,R,0), so direction is nearly (0,0,1)). So, the angle between near (0,0,-1) and (0,0,1) is 180 degrees, but according to the formula arccos( Hh / (√(R² + H²) √(R² + h²)) ). If H and h are large, then √(R² + H²) ≈ H, √(R² + h²) ≈ h, so the argument becomes Hh/(H h) = 1, so arccos(1) = 0. But that's not correct. Wait, this seems contradictory. What's wrong here?Wait, perhaps I made a mistake in the sign. The dot product was -Hh, but when taking the absolute value for the angle between lines, we should use the absolute value of the dot product. Wait, no. Wait, the angle between two lines is determined by the absolute value of the cosine of the angle between their direction vectors. However, in the formula, the angle between the lines is computed as the acute angle between them, so if the dot product is negative, the cosine of the angle between the lines is the absolute value of the dot product divided by the product of magnitudes.Wait, let me clarify. The angle θ between two vectors satisfies cosθ = (a • b)/( |a||b| ). However, the angle between two lines is the smallest angle between their direction vectors, so if θ is greater than 90 degrees, the angle between the lines is 180 - θ. Therefore, the cosine of the angle between the lines is |(a • b)|/( |a||b| ). Therefore, in our case, the angle between the lines is arccos( | - Hh | / (√(R² + H²) √(R² + h²)) ) = arccos( Hh / (√(R² + H²) √(R² + h²)) ). But when H and h are both large, this becomes arccos( Hh / (H h) ) = arccos(1) = 0, which suggests the angle between lines is 0 degrees, which conflicts with the intuition that they are pointing in opposite directions. Wait, that can't be right. There must be a mistake here.Wait, hold on. The direction vectors of the generatrices are (R, 0, -H) for the upper cone and (0, R, h) for the lower cone. If H and h are very large, the direction vectors are approximately (0,0,-H) and (0,0,h). But actually, the direction vectors are (R,0,-H) and (0,R,h). If H is large, then the direction vector (R,0,-H) is mainly in the negative z-direction with a small x-component. Similarly, (0,R,h) is mainly in the positive z-direction with a small y-component. So, the angle between these two vectors would be close to 180 degrees because they are pointing in nearly opposite z-directions. However, the formula gives arccos( ( -Hh ) / ( |v1||v2| ) ), which when H and h are large, approximates to arccos( -Hh / (H h) ) = arccos(-1) = π radians or 180 degrees. But earlier, when I considered the angle between the lines, I thought it should take the acute angle, but in reality, the angle between two lines is the smallest angle between them, which in this case, if the vectors are pointing in nearly opposite directions, the angle between the lines would actually be 180 degrees minus the angle between the vectors? Wait, no. Wait, confusion arises here.Wait, the angle between two lines is defined as the smallest angle between their direction vectors. So, if two vectors are pointing in opposite directions, the angle between them is 180 degrees, but the angle between the lines is still 180 degrees. However, in 3D space, lines can be skew, and the angle between them is defined as the angle between their direction vectors when projected onto a plane where they intersect. Wait, no, actually, the angle between two skew lines is defined as the angle between their direction vectors, measured in the plane formed by the two direction vectors. So, regardless of their position in space, the angle between two skew lines is the angle between their direction vectors, taken as the smallest one. Therefore, if two direction vectors form an angle θ (between 0 and 180), then the angle between the lines is θ if θ ≤ 90, and 180 - θ if θ > 90. Wait, no, actually, no. The angle between two lines is always taken as the acute angle between them. Wait, let me check a reference.According to the definition, the angle between two skew lines is the angle between their direction vectors, measured as the smallest angle between them. So, if the angle between the direction vectors is θ, then the angle between the lines is the acute angle, i.e., min(θ, 180° - θ). Therefore, if θ is obtuse, the angle between the lines is 180° - θ. However, in our formula, when we compute θ via arccos( (a • b)/( |a||b| ) ), it can be obtuse. Therefore, the angle between the lines is the acute angle, which would be arccos( |a • b| / (|a||b| ) ).Wait, so in our case, the dot product is -Hh, so (a • b) is negative, meaning the angle between the vectors is obtuse. Therefore, the angle between the lines is 180° - θ, where θ is the angle between the vectors. Therefore, to compute the angle between the lines, we need to take 180° - arccos( ( -Hh ) / ( |v1||v2| ) ). But this is equivalent to arccos( Hh / ( |v1||v2| ) ). Because cos(180° - θ) = -cosθ. So, if θ is the angle between the vectors (obtuse), then the angle between the lines is 180° - θ, whose cosine is |(a • b)| / (|a||b| ).Therefore, the angle between the lines is arccos( | (a • b) | / ( |a| |b| ) ). So, in our case, since (a • b) = -Hh, | (a • b) | = Hh. Therefore, the angle between the lines is arccos( Hh / ( √(R² + H²) √(R² + h²) ) ). Therefore, the formula we derived earlier is correct for the acute angle between the two lines, even when the vectors are pointing in directions that give an obtuse angle.But in the case where H and h are very large, this formula gives arccos( Hh / (H h ) ) = arccos(1) = 0°, which conflicts with the intuition that the lines are nearly opposite. Wait, but if H and h are both very large, the direction vectors are (R,0,-H) ≈ (0,0,-H) and (0,R,h) ≈ (0,0,h). So, direction vectors are approximately (0,0,-1) and (0,0,1), which are pointing in opposite directions, so the angle between them is 180°, but the angle between the lines is the acute angle, which is 0°. Wait, that doesn't make sense. If two lines are colinear but opposite, the angle between them is 180°, but if they are skew lines, the angle is still measured as the angle between their direction vectors. Wait, no. Wait, if two lines are skew, you can't say they are colinear. But in this case, as H and h increase, the lines become more vertical but in opposite directions. The angle between their direction vectors approaches 180°, so the angle between the lines is considered as 180°, but since the lines are skew, the angle between skew lines is defined as the angle between their direction vectors, regardless of their positions. Wait, according to the definition, the angle between two skew lines is the angle between their direction vectors when they are translated to intersect. So, even if the lines are skew, the angle is calculated based on the direction vectors. Therefore, in this case, when H and h are very large, the direction vectors are almost antiparallel, so the angle between them is approaching 180°, so the angle between the lines is 180°, which is not acute. But according to our formula, it's approaching arccos(1) = 0°, which is conflicting.Wait, there must be a mistake here. Let's recast the problem.Suppose we have two lines in space with direction vectors d1 and d2. The angle θ between the lines is given by:θ = arccos( |d1 • d2| / (|d1| |d2|) )This θ is the acute or right angle between the lines. If the dot product is negative, we take the absolute value to ensure the cosine is positive, leading to the acute angle. However, in our case, the direction vectors are (R,0,-H) and (0,R,h). Let's normalize these vectors to unit vectors.Unit vector for d1: (R, 0, -H)/√(R² + H²)Unit vector for d2: (0, R, h)/√(R² + h²)Dot product:(R*0 + 0*R + (-H)*h)/(√(R² + H²) √(R² + h²)) ) = (-Hh)/(√(R² + H²) √(R² + h²))Taking absolute value, it's Hh/(√(R² + H²) √(R² + h²))Thus, θ = arccos( Hh/(√(R² + H²) √(R² + h²)) )This θ is the acute angle between the two lines.But in the case where H and h are very large, Hh/(√(R² + H²) √(R² + h²)) ≈ Hh/(H h) = 1, so θ ≈ arccos(1) = 0°, which would imply that the lines are almost parallel, which contradicts the intuition that they are almost opposite. However, if H = h, then as H increases, the direction vectors become (R,0,-H) and (0,R,H). The angle between these vectors is calculated as arccos( ( -H² ) / ( √(R² + H²) √(R² + H²) ) ) = arccos( -H² / (R² + H²) ). The acute angle between the lines would then be arccos( H² / (R² + H²) ). Wait, but if H is very large, H²/(R² + H²) ≈ 1, so the angle approaches 0°, implying the lines are nearly parallel? But (R,0,-H) and (0,R,H) for large H would have direction vectors pointing mainly in the negative and positive z-directions, but with small x and y components. So, the actual angle between the direction vectors is approaching 180°, but the acute angle between the lines is approaching 0°. How is that possible?Wait, maybe my intuition is wrong. Let's take specific values. Let’s set R=1, H=1000, h=1000. Then, direction vectors are (1,0,-1000) and (0,1,1000). The angle between these vectors can be calculated:Dot product = (1)(0) + (0)(1) + (-1000)(1000) = -1,000,000|v1| = √(1 + 0 + 1000000) ≈ 1000.0005|v2| = √(0 + 1 + 1000000) ≈ 1000.0005Thus, cosθ ≈ -1,000,000 / (1000.0005 * 1000.0005) ≈ -1,000,000 / 1,000,001 ≈ -0.999999Thus, θ ≈ arccos(-0.999999) ≈ 179.9999 degreesTherefore, the angle between the vectors is ≈ 180 degrees. But the angle between the lines is the acute angle, which is 180° - 179.9999° ≈ 0.0001 degrees, which is effectively 0°. So, in this case, the angle between the lines is considered as approximately 0°, even though the vectors are almost antiparallel. This seems counterintuitive, but according to the definition, the angle between two lines is the smallest angle between their direction vectors. So, if the angle between the vectors is θ, the angle between the lines is min(θ, 180° - θ). Therefore, in this case, since θ ≈ 180°, the angle between the lines is ≈ 0°, which is the acute angle. So, even though the lines are nearly antiparallel, the angle between them is considered 0° because you can rotate one vector by a small angle to align with the other. Wait, but in reality, the lines are almost pointing in opposite directions. Hmm.Wait, perhaps the confusion arises from the difference between oriented angles and unoriented angles. The angle between two lines is always the smallest non-oriented angle between them, regardless of the direction of the vectors. So, even if the vectors are pointing in nearly opposite directions, the angle between the lines is the smallest angle you can get by rotating one line to meet the other, which would be the acute angle. However, in the example above, rotating one line by almost 180° would make it align with the other line, but since we take the smallest angle, it's 180° - θ_vector, which in this case is nearly 0°. So, the formula is correct, even if it seems counterintuitive. Therefore, the formula for the angle between the generatrices is arccos( Hh / (√(R² + H²) √(R² + h²)) ), which can approach 0° when H and h are large.Okay, that seems to check out. Now, for the distance between the two generatrices, we found it to be R(H + h)/√(R² + H² + h²). Let's test this formula with some simple cases.Case 1: Let R = 0. Then, the base is a point, which is not possible since the radius is zero. Disregard.Case 2: Let H = h = 0. Again, cones collapse to the base, which is invalid.Case 3: Let H = h. Then, the distance becomes R(2H)/√(R² + 2H²). For example, if R = H, then distance = R(2R)/√(R² + 2R²) = 2R² / √(3R²) = 2R/√3 ≈ 1.1547R. Seems reasonable.Another test: If H or h is zero, but since heights can't be zero, let's take h approaching zero. Then, the distance becomes R(H + 0)/√(R² + H² + 0) = RH / √(R² + H²). Which is the distance from the point (0,0,-0) [which is the base] to the upper generatrix. Wait, no. If h approaches zero, the lower cone becomes a flat disk, and the generatrix from the lower cone approaches a line in the base. The distance between the upper generatrix and the base would be the distance from the upper generatrix to the base, which is zero since they meet at the base. Wait, but our formula gives RH / √(R² + H²). This suggests a problem. Wait, if h approaches zero, then the lower generatrix is from (0,0,0) [since h approaches zero] to Q(0,R,0). But if the lower cone's height is zero, its vertex is at the base, so the generatrix is just the line from (0,0,0) to (0,R,0), which lies entirely in the base. The upper generatrix is from (0,0,H) to (R,0,0). The distance between these two lines (one in the base, the other going from height H to the base) should not be zero. Wait, but according to the formula, when h approaches zero, the distance is RH / √(R² + H² + 0) = RH / √(R² + H²). Let's see if this makes sense.The upper generatrix is the line from (0,0,H) to (R,0,0). The lower generatrix is the line from (0,0,0) to (0,R,0). The minimal distance between these two lines can be computed using the formula. Alternatively, we can compute it manually. The upper generatrix is parametrized as t(R,0,-H) + (0,0,H) = (Rt, 0, H - Ht), t ∈ [0,1]. The lower generatrix is parametrized as s(0,R,0) + (0,0,0) = (0, sR, 0), s ∈ [0,1]. The minimal distance between these two lines can be found by minimizing the distance between points (Rt, 0, H - Ht) and (0, sR, 0). The distance squared is (Rt)^2 + (sR)^2 + (H - Ht)^2. To minimize this, take partial derivatives with respect to t and s.Derivative with respect to t:2R^2 t - 2H(H - Ht)(-H) = 2R^2 t + 2H^2 (H - Ht)Wait, let me compute more carefully.Distance squared D² = (Rt)^2 + (sR)^2 + (H - Ht)^2Partial derivative w.r. to t:2Rt * R + 0 + 2(H - Ht)(-H) = 2R² t - 2H²(1 - t)Set to zero:2R² t - 2H²(1 - t) = 0R² t = H² (1 - t)t (R² + H²) = H²t = H² / (R² + H²)Similarly, partial derivative w.r. to s:2sR² = 0 => s = 0Therefore, minimal distance squared is (R * H² / (R² + H²))² + 0 + (H - H * H² / (R² + H²))²Simplify:First term: R² H⁴ / (R² + H²)^2Third term: [ H (R² + H²) - H³ ]² / (R² + H²)^2 = [ H R² ]² / (R² + H²)^2 = H² R⁴ / (R² + H²)^2Therefore, D² = (R² H⁴ + H² R⁴ ) / (R² + H²)^2 = R² H² (H² + R²) / (R² + H²)^2 = R² H² / (R² + H²)Therefore, D = RH / √(R² + H²), which matches our formula when h approaches zero. So, the formula seems correct in this case.Another test: Let H = h = R. Then, the distance is R( R + R ) / √(R² + R² + R²) = 2R² / √(3R²) = 2R / √3 ≈ 1.1547 R. Which seems plausible.Therefore, the formulas for both the angle and the distance seem correct.Thus, to answer the original problem:The angle between the generatrices is arccos( Hh / (√(R² + H²) √(R² + h²)) )The distance between the generatrices is R(H + h) / √(R² + H² + h²)But the problem states "Find the angle and the distance...". It might require expressing the angle in terms of arctangent or another form, but as per the problem statement, probably acceptable as arccos.Alternatively, perhaps we can express the angle using the tangent. Let me see:If we have cosθ = Hh / (√(R² + H²) √(R² + h²)), then tanθ = √(1 - cos²θ)/cosθBut maybe not necessary. The answer can be left in terms of arccos. Similarly, the distance is as simplified.Therefore, the final answers are:Angle: arccos( Hh / (√(R² + H²) √(R² + h²)) )Distance: R(H + h)/√(R² + H² + h²)Expressed in boxed notation:Angle: boxed{ arccosleft( dfrac{Hh}{sqrt{(R^2 + H^2)(R^2 + h^2)}} right) }Distance: boxed{ dfrac{R(H + h)}{sqrt{R^2 + H^2 + h^2}} }Final AnswerThe angle between the generatrices is boxed{ arccosleft( dfrac{Hh}{sqrt{(R^2 + H^2)(R^2 + h^2)}} right) } and the distance is boxed{ dfrac{R(H + h)}{sqrt{R^2 + H^2 + h^2}} }.</think>Given two cones with a common base of radius ( R ) and heights ( H ) and ( h ), where the vertices are on opposite sides of the base, we need to find the angle and the distance between two generatrices whose endpoints on the base circumference limit a quarter of the circumference. Key Steps:1. Parametrize the Points: - The vertices of the cones are at ( (0, 0, H) ) and ( (0, 0, -h) ). - The endpoints of the generatrices on the base circumference are ( P(R, 0, 0) ) and ( Q(0, R, 0) ), which are 90 degrees apart.2. Vectors for Generatrices: - Generatrix from ( (0, 0, H) ) to ( P ): ( mathbf{v_1} = (R, 0, -H) ) - Generatrix from ( (0, 0, -h) ) to ( Q ): ( mathbf{v_2} = (0, R, h) )3. Angle Between Generatrices: - Dot product: ( mathbf{v_1} cdot mathbf{v_2} = -Hh ) - Magnitudes: ( |mathbf{v_1}| = sqrt{R^2 + H^2} ) and ( |mathbf{v_2}| = sqrt{R^2 + h^2} ) - Cosine of the angle: [ cos theta = frac{-Hh}{sqrt{(R^2 + H^2)(R^2 + h^2)}} ] - Acute angle between the lines: [ theta = arccos left( frac{Hh}{sqrt{(R^2 + H^2)(R^2 + h^2)}} right) ]4. Distance Between Generatrices: - Points on lines: ( (0, 0, H) ) and ( (0, 0, -h) ) - Direction vectors: ( mathbf{v_1} = (R, 0, -H) ) and ( mathbf{v_2} = (0, R, h) ) - Cross product: ( mathbf{v_1} times mathbf{v_2} = (HR, -Rh, R^2) ) - Distance formula: [ text{Distance} = frac{|(0, 0, -H-h) cdot (HR, -Rh, R^2)|}{|mathbf{v_1} times mathbf{v_2}|} = frac{R(H + h)}{sqrt{R^2 + H^2 + h^2}} ] Final Answer:The angle between the generatrices is boxed{ arccosleft( dfrac{Hh}{sqrt{(R^2 + H^2)(R^2 + h^2)}} right) } and the distance is boxed{ dfrac{R(H + h)}{sqrt{R^2 + H^2 + h^2}} }.,<think>Okay, so I have this geometry problem here about two cones that share a common base. The base has radius R, and the two cones have heights H and h. The vertices are on opposite sides of the base, which I think means they're on opposite ends of the diameter if we look at the base as a circle. The question is asking for the angle and the distance between two generatrices (which I think are the slant heights) of these cones. The ends of these generatrices on the circumference of the base limit a quarter of the circumference. Hmm, let me parse that.First, let me visualize the setup. There's a common base circle with radius R. On one side of this base, there's a cone with height H, and on the other side, directly opposite, there's another cone with height h. So the apex of the first cone is H units above the base, and the apex of the second cone is h units below the base? Or maybe they are both on the same line perpendicular to the base but on opposite sides. That makes sense.So, the two cones are joined at the base, with their vertices on opposite sides. Now, each cone has a generatrix, which is the slant height from the vertex to a point on the circumference of the base. The problem states that the two generatrices (one from each cone) end on the circumference such that the arc between their endpoints is a quarter of the circumference. So, if we look at the base circle, the two points where the generatrices meet the circumference are 90 degrees apart, forming a quarter circle. Therefore, the angle subtended by those two points at the center of the base is 90 degrees.We need to find the angle between the two generatrices (the angle between the two slant heights) and the distance between them (the shortest distance between the two lines, I suppose). Let's start by setting up coordinates to model this.Let me place the common base of the cones on the xy-plane, centered at the origin (0,0,0). The first cone (with height H) has its vertex at (0,0,H), and the second cone (with height h) has its vertex at (0,0,-h). Then, the generatrices of each cone go from their respective vertex to a point on the circumference of the base circle. Let's denote the two endpoints on the circumference as points A and B. The arc from A to B along the circumference is a quarter-circle, which is 90 degrees or π/2 radians.Since the base is a circle of radius R, the points A and B are separated by a quarter of the circumference. Let's parameterize the positions of A and B. Without loss of generality, let's assume point A is at (R,0,0). Then, moving a quarter-circle (90 degrees) around the circumference, point B would be at (0,R,0). Wait, but that would make the arc length from A to B a quarter of the circumference. However, the chord length between A and B is then √(R² + R²) = R√2. But maybe the problem states that the arc is a quarter, so the central angle is 90 degrees. So points A and B are 90 degrees apart on the circle.Therefore, the generatrix of the first cone from (0,0,H) to (R,0,0) and the generatrix of the second cone from (0,0,-h) to (0,R,0). Wait, but in the problem statement, it's the ends on the circumference that limit a quarter of the circumference, so maybe both generatrices end on points that are a quarter apart? Let me check again."The ends on the circumference of the base limit a quarter of the circumference." So, the two generatrices end at two points on the circumference such that the arc between them is a quarter of the circumference. So those two points are separated by 90 degrees. So each generatrix is from each cone's vertex to a point on the base circle, and those two points are 90 degrees apart. Therefore, we have two lines: one from (0,0,H) to (R,0,0) and another from (0,0,-h) to (0,R,0). Wait, but that would make their endpoints separated by 90 degrees. Alternatively, maybe both generatrices are from their respective vertices to points that are 90 degrees apart on the circumference.Wait, actually, each cone has many generatrices (all the slant heights from the vertex to every point on the circumference). But here, we are considering two specific generatrices, one from each cone, such that their endpoints on the base circle are a quarter circumference apart. So, those two generatrices are lines from each vertex to points on the base separated by 90 degrees. So, for example, one generatrix goes from (0,0,H) to (R,0,0) and the other goes from (0,0,-h) to (0,R,0). Then, these two lines are the ones we need to find the angle between and the distance between them.Alternatively, maybe the two generatrices are from each cone to points such that moving from one endpoint to the other along the circumference covers a quarter. So, yes, they are 90 degrees apart. So, the problem is to take those two specific generatrices and compute the angle between them and the minimal distance between them.First, let's find the angle between the two generatrices. To find the angle between two lines in space, we can use the dot product formula. The angle θ between two vectors u and v is given by:cosθ = (u · v) / (|u| |v|)But these are lines, so we need the direction vectors of the lines. Let's define the two generatrices as lines in 3D space.First generatrix: from vertex V1 = (0,0,H) to point A = (R,0,0)Second generatrix: from vertex V2 = (0,0,-h) to point B = (0,R,0)So, the direction vectors for these lines are:For the first line: A - V1 = (R,0,-H)For the second line: B - V2 = (0,R,h)So, direction vectors u = (R, 0, -H) and v = (0, R, h)Then, the angle θ between these two vectors is:cosθ = (u · v) / (|u| |v|)Compute the dot product:u · v = (R)(0) + (0)(R) + (-H)(h) = -HhCompute |u| = sqrt(R² + 0 + H²) = sqrt(R² + H²)Compute |v| = sqrt(0 + R² + h²) = sqrt(R² + h²)Therefore,cosθ = (-Hh) / (sqrt(R² + H²) sqrt(R² + h²))But angle between two lines is typically taken as the acute angle, so maybe we should take the absolute value? Wait, the problem might just want the angle, regardless of orientation. Let me check.Wait, the formula gives cosθ as negative here. But angles between lines are between 0 and 180 degrees. So θ would be arccos of that negative value, which would give an angle between 90 and 180 degrees. Alternatively, maybe we should take the acute angle, so take the absolute value.But perhaps the problem just wants the angle as computed. Let's see. Let's compute θ as:θ = arccos( (-Hh) / (sqrt(R² + H²) sqrt(R² + h²)) )But this would give an angle greater than 90 degrees. Alternatively, maybe we can compute the angle between the lines as the acute angle. To do that, we can take the absolute value of the dot product. But I need to confirm.In standard definitions, the angle between two vectors is the smallest angle between them, which would be acute or right. But if we take the angle between two lines, it's defined as the smallest angle between their direction vectors, so between 0 and 180 degrees, but typically the acute angle. However, depending on the direction of the vectors, it could be obtuse. Wait, but here, the formula with the dot product gives θ as the angle between the vectors, which can be obtuse. However, the angle between the lines is the smallest angle between them, so we take the acute angle. Therefore, if the dot product gives a negative cosine, the angle between the vectors is obtuse, but the angle between the lines would be 180 - θ, which is acute.Wait, I need to be careful here. When computing the angle between two lines, it's the smallest angle between their direction vectors, so it's always between 0 and 90 degrees. Therefore, even if the dot product formula gives an angle greater than 90, the angle between the lines is considered the acute angle. Therefore, perhaps we should take the absolute value of the dot product.So, angle φ between the lines is:cosφ = |u · v| / (|u| |v|) ) = | -Hh | / (sqrt(R² + H²) sqrt(R² + h²)) ) = Hh / (sqrt(R² + H²) sqrt(R² + h²))Therefore, φ = arccos( Hh / (sqrt(R² + H²) sqrt(R² + h²)) )That would be the angle between the two generatrices.Alternatively, perhaps the problem expects the obtuse angle? Hmm. Wait, maybe the problem is not specifying, so we need to check the exact question. It says "Find the angle and the distance between two generatrices of these cones...". Since angle between lines is usually the smallest one, so probably φ as above. Let me note both possibilities and see later.Now, moving on to the distance between the two generatrices. The distance between two skew lines in space can be found using the formula:Distance = |(V2 - V1) · (u × v)| / |u × v|Where V1 and V2 are points on the two lines, and u and v are direction vectors of the lines.First, let's confirm that the two generatrices are skew lines. Since they are not parallel (their direction vectors are not scalar multiples) and they do not intersect (since one line is from (0,0,H) to (R,0,0) and the other is from (0,0,-h) to (0,R,0); they don't share any common points except possibly if extended, but given that H and h are positive, they don't intersect). Therefore, they are skew lines.So, applying the formula. Let me denote:Line 1: passes through V1 = (0,0,H) and has direction vector u = (R,0,-H)Line 2: passes through V2 = (0,0,-h) and has direction vector v = (0,R,h)Wait, actually, wait: the direction vectors are from the vertices to the base points. But in standard line parametrization, the direction vector is along the line. So, the first line can be parametrized as V1 + t*(A - V1) = (0,0,H) + t*(R,0,-H), where t ranges from 0 to 1. Similarly, the second line is V2 + s*(B - V2) = (0,0,-h) + s*(0,R,h), where s ranges from 0 to 1.Therefore, the direction vectors are u = (R,0,-H) and v = (0,R,h). Now, the vector connecting V1 and V2 is V2 - V1 = (0,0,-h) - (0,0,H) = (0,0,-h - H) = (0,0,-(H + h))To compute the distance between the two skew lines, we can use the formula:Distance = |(V2 - V1) · (u × v)| / |u × v|First, compute u × v:u = (R, 0, -H)v = (0, R, h)Cross product:i j kR 0 -H0 R h= i*(0*h - (-H)*R) - j*(R*h - (-H)*0) + k*(R*R - 0*0)= i*(0 + HR) - j*(Rh - 0) + k*(R² - 0)= (HR, -Rh, R²)So, u × v = (HR, -Rh, R²)Now, compute the magnitude of u × v:|u × v| = sqrt( (HR)^2 + (-Rh)^2 + (R²)^2 )= sqrt( H²R² + R²h² + R^4 )= R sqrt( H² + h² + R² )Wait, let's check:(HR)^2 = H²R²(-Rh)^2 = R²h²(R²)^2 = R^4Therefore, sum is H²R² + R²h² + R^4 = R²(H² + h² + R²). So square root is R sqrt(H² + h² + R²). Okay.Now, compute (V2 - V1) · (u × v):V2 - V1 = (0,0,-(H + h))Dot product with u × v = (HR, -Rh, R²):= 0*HR + 0*(-Rh) + (-(H + h))*R²= -R²(H + h)Therefore, the absolute value is | -R²(H + h) | = R²(H + h)Therefore, the distance is R²(H + h) / (R sqrt(H² + h² + R²)) ) = R(H + h) / sqrt(H² + h² + R²)Simplify:Distance = [ R(H + h) ] / sqrt(R² + H² + h²)So that's the distance between the two generatrices.Now, going back to the angle between the lines. Earlier, we considered two possibilities: the angle given by the dot product formula which could be obtuse, and the acute angle between the lines. Let me verify again.The formula for the angle between two lines in space is indeed given by the acute angle between their direction vectors. Therefore, even if the dot product gives a negative cosine, we take the acute angle by using the absolute value.So, using the direction vectors u = (R,0,-H) and v = (0,R,h), their dot product is u · v = 0 + 0 + (-Hh) = -Hh. The magnitudes are |u| = sqrt(R² + H²) and |v| = sqrt(R² + h²). Therefore, cosθ = (-Hh)/(sqrt(R² + H²)sqrt(R² + h²)). However, since angle between lines is the acute angle, we take the absolute value, so cosφ = Hh/(sqrt(R² + H²)sqrt(R² + h²)), so φ = arccos(Hh/(sqrt(R² + H²)sqrt(R² + h²))). So that's the angle between the two generatrices.Alternatively, if the problem expects the angle as computed without taking absolute value, which would be θ = arccos(-Hh/(sqrt(R² + H²)sqrt(R² + h²))), which is obtuse. But since the angle between two lines is always taken as the smallest angle between them, which is acute or right, so it's φ = arccos(Hh/(sqrt(R² + H²)sqrt(R² + h²))). So that must be the answer.Therefore, summarizing:Angle = arccos( Hh / ( sqrt(R² + H²) sqrt(R² + h²) ) )Distance = [ R(H + h) ] / sqrt(R² + H² + h² )But let me check the problem statement again to make sure. It says "the ends on the circumference of the base limit a quarter of the circumference." So the two generatrices are such that the arc between their endpoints is a quarter circle, which we considered as 90 degrees. We placed the endpoints at (R,0,0) and (0,R,0). So that seems correct.Let me verify the coordinates. The first generatrix is from (0,0,H) to (R,0,0), direction vector (R,0,-H). The second is from (0,0,-h) to (0,R,0), direction vector (0,R,h). Then, cross product is (HR, -Rh, R²). The vector between the vertices is (0,0,-H - h). Then, the dot product with cross product is -R²(H + h). The magnitude of cross product is R sqrt(H² + h² + R²). So, distance is R²(H + h)/[ R sqrt(H² + h² + R²) ] = R(H + h)/sqrt(H² + h² + R²). That seems correct.Alternatively, is there another way to compute the distance? Let me think. The minimal distance between two skew lines can also be found by finding a vector that is perpendicular to both lines. The formula we used is standard, so I think that's correct.Now, for the angle. Let me compute an example case to check. Suppose R = 1, H = 1, h = 1. Then, cosφ = (1*1)/(sqrt(1 + 1)sqrt(1 + 1)) ) = 1/(sqrt(2)*sqrt(2)) = 1/2. So φ = arccos(1/2) = 60 degrees. That seems okay.But if H and h are zero, then the cones collapse to the base, but that's not possible. If H is large compared to R and h, then the angle becomes small. For example, H approaches infinity, h fixed. Then, sqrt(R² + H²) ~ H, so cosφ ~ (Hh)/(H sqrt(R² + h²)) ) = h / sqrt(R² + h²). So angle approaches arccos(h / sqrt(R² + h²)), which is the angle of a right triangle with legs h and R, which makes sense. Similarly, if h approaches infinity, same thing. So the formula seems to behave correctly.Therefore, the angle is arccos( Hh / ( sqrt(R² + H²) sqrt(R² + h²) ) )And the distance is R(H + h)/sqrt(R² + H² + h² )Thus, these should be the answers. Let me write them in boxed notation.Final AnswerThe angle between the generatrices is boxed{arccosleft( dfrac{Hh}{sqrt{(R^2 + H^2)(R^2 + h^2)}} right)} and the distance between them is boxed{ dfrac{R(H + h)}{sqrt{R^2 + H^2 + h^2}} }.</think>Given two cones with a common base of radius ( R ) and heights ( H ) and ( h ), where the vertices are on opposite sides of the base, we need to find the angle and the distance between two generatrices whose endpoints on the circumference of the base limit a quarter of the circumference.1. Angle between the generatrices: - The generatrices from the vertices of the cones to points ( A ) and ( B ) on the base (separated by 90 degrees) are considered. - Direction vectors of the generatrices are ( mathbf{u} = (R, 0, -H) ) and ( mathbf{v} = (0, R, h) ). - The angle ( theta ) between these vectors is calculated using the dot product: [ costheta = frac{mathbf{u} cdot mathbf{v}}{|mathbf{u}| |mathbf{v}|} = frac{-Hh}{sqrt{(R^2 + H^2)(R^2 + h^2)}} ] - Since the angle between lines is the acute angle, we take the absolute value: [ theta = arccosleft( frac{Hh}{sqrt{(R^2 + H^2)(R^2 + h^2)}} right) ]2. Distance between the generatrices: - The distance between the skew lines is calculated using the formula involving the cross product of the direction vectors and the vector connecting the vertices: - Cross product ( mathbf{u} times mathbf{v} = (HR, -Rh, R^2) ) - Vector connecting the vertices ( mathbf{V_2 - V_1} = (0, 0, -(H + h)) ) - Dot product of the connecting vector with the cross product: [ |(mathbf{V_2 - V_1}) cdot (mathbf{u} times mathbf{v})| = |-R^2(H + h)| ] - Magnitude of the cross product: [ |mathbf{u} times mathbf{v}| = Rsqrt{R^2 + H^2 + h^2} ] - Distance formula: [ text{Distance} = frac{R^2(H + h)}{Rsqrt{R^2 + H^2 + h^2}} = frac{R(H + h)}{sqrt{R^2 + H^2 + h^2}} ] Final AnswerThe angle between the generatrices is (boxed{arccosleft( dfrac{Hh}{sqrt{(R^2 + H^2)(R^2 + h^2)}} right)}) and the distance between them is (boxed{ dfrac{R(H + h)}{sqrt{R^2 + H^2 + h^2}} }).]
🔑:Let A and B be the vertices of the given cones, A K and B M be the indicated generators, and O be the center of the base. According to the problem, A O=H, B O=h, angle K O M=90^{circ} (Fig.1). Drop a perpendicular O C from the center of the base to the line A K. Since O K perp O M, by the theorem of three perpendiculars, A K perp O M. Therefore, the line A K is perpendicular to the plane O C M. When orthogonally projecting onto this plane, the line A K will become the point C, and the point B will become some point B^{prime} (Fig.2). The planes O C M and A K B are perpendicular because the plane O C M passes through the perpendicular O M to the plane A K B. Therefore, the perpendicular B B^{prime} to the plane O C M lies in the plane A K B, and the point B^{prime} lies on the line O C of intersection of these planes. Consider the plane A K B. From the right triangle A O K, we find thatbegin{gathered}A K=sqrt{A O^{2}+O K^{2}}=sqrt{H^{2}+R^{2}}, O C=frac{A O cdot O K}{A K}=frac{H cdot R}{sqrt{H^{2}+R^{2}}} A C=frac{A O^{2}}{A K}=frac{H^{2}}{sqrt{H^{2}+R^{2}}}end{gathered}Since B B^{prime} perp O C and A K perp O C, then B B^{prime} parallel A K. Triangles O B^{prime} B and O C A are similar with a ratio of frac{h}{H}, thereforeO B^{prime}=frac{h}{H} cdot O C=frac{h R}{sqrt{H^{2}+R^{2}}}, B B^{prime}=frac{h}{H} cdot A C=frac{h H}{sqrt{H^{2}+R^{2}}}.Thus,B^{prime} C=O C+O B^{prime}=frac{H R}{sqrt{H^{2}+R^{2}}}+frac{h R}{sqrt{H^{2}+R^{2}}}=frac{R(H+h)}{sqrt{H^{2}+R^{2}}}Let alpha be the angle between the lines A K and B M. Since B^{prime} M is the orthogonal projection of the line B M onto the plane O C M, then alpha=90^{circ}-angle B M B^{prime}. Therefore,cos alpha=sin angle B M B^{prime}=frac{B B^{prime}}{B M}=frac{frac{h H}{sqrt{H^{2}+R^{2}}}}{sqrt{h^{2}+R^{2}}}=frac{h H}{sqrt{(H^{2}+R^{2})(h^{2}+R^{2})}}.From the right triangle B M B^{prime}, we find thatSince the point B^{prime} lies on the line O C, then O M perp B^{prime} C. Therefore, O M is the height of the triangle B^{prime} C M. The distance between the lines A K and B M is equal to the length of the perpendicular C P dropped from the point C to the orthogonal projection B^{prime} M of the line B M onto the plane O C M, which is perpendicular to the line A K. Since C P is also the height of the triangle B^{prime} C M, then## Answerfrac{R(H+h)}{sqrt{H^{2}+h^{2}+R^{2}}} ; arccos frac{h H}{sqrt{(H^{2}+R^{2})(h^{2}+R^{2})}}.